Литмир - Электронная Библиотека

Биржевая игра - _8.jpg

Биржевая игра - _9.jpg

Биржевая игра - _10.jpg

Биржевая игра - _11.jpg

Биржевая игра - _12.jpg

Биржевая игра - _13.jpg

Биржевая игра - _14.jpg

Биржевая игра - _15.jpg

Согласно таблице 5.10, требуется только 49.000 долларов для того, чтобы получить 1 миллион прибыли, а при помощи управления капи­талом дополнительно требуется 13.000 долларов прибыли. К моменту получения 1 миллиона число торгуемых контрактов составит 80.

Таблица 5.11 показывает, что при торговле одним контрактом по­требуется 81.000 долларов, чтобы достигнуть 350.000 долларов. И 25.000 долларов дополнительной прибыли от одного контракта, чтобы увеличить общие прибыли от управления капиталом и достичь 1.000.000 долларов. На этом уровне в торговлю привлекаются 40 кон­трактов.

Таблица 5.12 показывает, что по достижении 1 миллиона долларов в игру вовлекаются 90 контрактов. Схема покупки - 1 контракт на каж­дые 11.111 долларов на счете. Риск в размере 9% по каждой сделке да­ет убыток, равный 37,4% суммарно извлекаемой прибыли. Убыток в 10.000 долларов по одному контракту приносит совокупное уменьше­ние суммы счета на 61%.

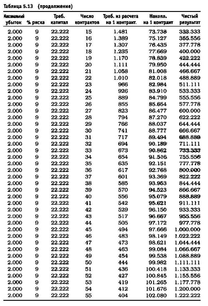
Из таблицы 5.13 видно, что для получения общей прибыли 350.000 долларов необходимо 75.000 прибыли при торговле одним контрактом. Дополнительные 22.000 прибыли от одного контракта по­требуется, чтобы получить 1.000.000 долларов, если торговать 45 кон­трактами. По этому сценарию убыток в размере 6000 долларов на кон­тракт дает 25% потерь.

Биржевая игра - _16.jpg

Биржевая игра - _17.jpg

Биржевая игра - _18.jpg

Биржевая игра - _19.jpg

Биржевая игра - _20.jpg

Биржевая игра - _21.jpg

ОПТИМАЛЬНАЯ ФРАКЦИЯ

Еще одна форма Фиксированно-Фракционного метода называет­ся Оптимальная ф (f)". Популярным этот метод сделал Ральф Винс. Он использует оптимальную фиксированную долю при торговле в соответ­ствии с заданным сценарием. "Оптимальная ф (f)" определяется как фик­сированная фракция, которая дает больший доход, чем любая другая фиксированная доля, применяемая в рамках такого сценария. Наш первый пример с подбрасыванием монеты показал, что больше всего прибыли можно получить, если прибегнуть к стратегии реинвестиро­вания, которая равна 25%, в сравнении этой величины с меньшей фик­сированной долей - 15% или в сравнении с двумя другими фиксиро­ванными долями, превышающими 25%, то есть 40% и 51%. В действи­тельности, применение как 24%, так и 26% дает менее значительную прибыль.

На первый взгляд кажется, что можно следовать этим путем. Ме­тод может привести к феноменальному росту счета. Однако он также (и в основном именно так и происходит) может повлечь за собой тяжелые последствия. Прежде всего следует указать на то, что в каждой ситуа­ции используются разные оптимальные фракции. Пример с подбрасы­ванием монеты базировался на наборе параметров и вероятностей. Торговля может иметь определенные параметры, но результаты необя­зательно останутся в пределах параметров. Если я использую страте­гию фьючерсной торговли с остановкой в 500 долларов и целевым уровнем прибыли, равным 1.000 долларов, не применяя никаких дру­гих параметров, то падение цен может вызвать убытки, превышающие 500 долларов. Если мои позиции останутся открытыми на ночь и цены двинутся против меня, то уровень потенциального убытка может ока­заться немного выше уровня защитной остановки. Помимо всего про­чего, вероятность заключения прибыльных сделок по отношению к убыточным сделкам может быть равна 50% для последних 100 сделок, но это касается прошлых, а вовсе не будущих данных. Здесь нельзя применить тот же способ вычисления вероятности, что и в случае ор­лов и решек при подбрасывании монеты.

Поскольку мы имеем дело с непредсказуемыми вероятностями, каждый торговый результат может служить основой для математичес­кой формулы, позволяющей рассчитать оптимальную фиксированную фракцию для предыдущих торговых сделок. Это самый значительный, кроме фактора риска, недостаток метода оптимальной фракции. Этот метод не применим для прогнозирования, он обращен в основном на исследование прошлых данных. Допустим, оптимальная фракция для предыдущих 100 сделок составляла 15%, в последующих 100 сделках эта доля может оказаться равной 9%. Если для предыдущих 100 сделок оптимальной была доля 15% и вы решили провести 100 следующих сделок с той же фракцией, то вы вполне можете ошибиться и легко выйти за пределы суммы на вашем торговом счете.

Динамику метода оптимальной фракции можно проиллюстриро­вать при помощи кривой нормального распределения. Оптимальная доля будет представлять собой верхнюю часть кривой с участками, нисходящими влево и вправо. В сценарии с подбрасыванием монеты инвестиция в 10% от общей суммы бросков приносила прибыли мень­ше, чем 25-процентная, а инвестиция 25% была более прибыльной, чем 40-процентная. Эти инвестиции приносили гораздо больше при­были, чем можно было бы получить без использования схемы реинвес­тирования. Однако при увеличении процента риска по каждой сделке до 51 положительное ожидание оборачивалось убытками. Следова­тельно, торговля с завышенным процентом риска может привести к бедствию.

В последовательности сделок, приведенных в таблице 5.14, пер­вые 30 характеризуются оптимальной фракцией, равной 41%. А те­перь рассмотрите 30 следующих сделок и рассчитайте для них опти­мальную фракцию.

Обратите внимание, что оптимальная фракция для второго ряда сделок на 20% ниже оптимальной фракции для первых 30 сделок. Но мы не знали, насколько оптимальная фракция для второй группы бу­дет отличаться от оптимальной фракции для первой, поэтому мы про­должали работу с прежней оптимальной фракцией.

Оптимальная доля изменилась сразу же после заключения 31 тор­говой сделки. Практическое применение стратегии оптимальной фракции оптимизирует прошлые сделки. Поэтому очередная сделка сразу попадает в последовательность, и оптимальная доля повторно оптимизируется. И будет оптимизироваться при заключении каждой сделки.

Если вы говорите себе, что подобный способ - это единственная возможность избежать торговли с неверной оптимальной фракцией для всей второй серии сделок, то проводите обновляющую оптимиза­цию после каждой сделки. После расчета оптимальной фракции для первой серии сделок можно утверждать лишь, что фракция действи­тельна именно в этой серии. Расчет оптимальной фракции для второй серии не имеет никакого отношения к первой серии. Поэтому когда вы проводите повторную оптимизацию для каждой сделки, то по оконча­нии второй серии оптимальная фракция будет составлять 31% вместо 41% для первой серии и 21% для второй серии. В результате вы все рав­но выйдете за пределы суммы вашего счета во время второй серии сде­лок, потому что вторая серия учитывает первые 30 сделок (см. главу 14, где рассматривается вероятность ряда повторяющихся сделок).

18
{"b":"188453","o":1}