Литмир - Электронная Библиотека
Содержание  
A
A

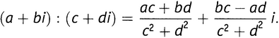
Такое всегда можно сделать — превратить знаменатель дроби в вещественное число. А поскольку всем известно, как делить на вещественные числа, мы у цели. Как нам поделить два полновесных комплексных числа, скажем, (−7 − 4i)/(−2 + 5i)? Вот как: умножим числитель и знаменатель на −2 − 5i. Давайте сначала выполним умножение сверху: (−7 − 4i)×(−2 − 5i) = −6 + 43i. Теперь снизу: (−2 + 5i)×(−2 − 5i) = 29. Ответ: −6/29 + 43/29i. Знаменатель дроби (a + bi)/(c + di) всегда можно превратить в вещественное число, умножив ее на (c − di). Общее правило на самом деле имеет вид

Простая одержимость. Бернхард Риман и величайшая нерешенная проблема в математике. - i_085.png

А каков квадратный корень из i? Не потребуется ли нам ввести целый новый класс чисел, чтобы включить √i? И все далее и далее до бесконечности? Ответ: перемножим скобки (1 + i)×(1 + i). Результат, как можно видеть, равен 2i. Значит, квадратный корень из 2i равен 1 + i. С поправкой на масштаб, квадратный корень из i должен быть равен 1/√2 + i/√2. Это число на самом деле им и является.

Комплексные числа по-настоящему прекрасны. С ними можно делать все, что угодно. Можно даже возводить их в комплексные степени, если вы полностью отдаете себе отчет в том, что делаете. Например, (−7 − 4i)−2+5i равно приблизительно −7611,976356 + 206,350419i. Однако подробное обсуждение этой темы мы отложим до другого момента.

V.

Чего нельзя сделать с комплексными числами, так это уложить их на прямую, как вещественные.

Семейство вещественных чисел R (конечно, с содержащимися в нем Q, Z и N) очень легко себе представить. Просто выстроим все числа вдоль прямой линии. Этот способ представления вещественных чисел называется «вещественная прямая» (рис. 11.1).

Простая одержимость. Бернхард Риман и величайшая нерешенная проблема в математике. - i_086.png

Рисунок 11.1. Вещественная прямая.

Каждое вещественное число лежит где-то на этой прямой. Например, √2 расположен немного к востоку от 1, чуть ближе, чем на полпути до 2, −π лежит лишь немного к западу от −3, а 1 000 000 — за пределами рисунка, где-то в соседнем районе. Ясно, что на конечном листе бумаги удается показать только часть прямой. От читателя требуется известная доля воображения.

Вещественная прямая представляется вещью очевидной, но в действительности дело с ней обстоит довольно серьезно и не лишено тайны. Рациональные числа, например, «всюду плотны» на ней. Это значит, что между любыми двумя рациональными числами найдется еще одно. А это означает, что между любыми двумя рациональными числами найдется еще бесконечно много рациональных. (Ну правда: если между a и b гарантированно живет c, то между a и c, а также между c и b гарантированно имеется некое d и некое e… и т.д., без конца.) Ладно, это почти удается себе представить. Но где же тогда помещаются иррациональные числа? Кажется, что им приходится как-то втискиваться между рациональными числами, которые, как мы только что видели, уже сидят всюду плотно! Всюду плотно — но при этом расселение еще не закончено.

Возьмем последовательность из главы 1.vii, которая сходится к √2, например 1/1, 3/2, 7/5, 17/12, 41/29, 99/70, 239/169, 577/408, 1393/985, 3363/2378, …. Ее члены по очереди делаются то меньше, то больше, чем √2, так что 1393/985 меньше, чем √2 примерно на 0,000000036440355, a 3363/2378 больше примерно на 0,00000006252177. Между этими двумя дробями втиснуто еще бесконечно много других дробей… и тем не менее где-то там остается место для √2. И не для одного только √2, а для бесконечного количества других иррациональностей!

Поражает не просто то, что иррациональностей бесконечно много, и не то, что и они тоже всюду плотны, но тот факт, что имеется строгий математический смысл в утверждении, что иррациональных чисел куда больше, чем рациональных. Это показал в 1874 году Георг Кантор. Число рациональных чисел бесконечно, и число иррациональных чисел тоже бесконечно, но вторая бесконечность больше первой. Как, черт возьми, все они умещаются на вещественной прямой? Как может столь непредставимо грандиозное количество иррациональных чисел втиснуться между рациональными, если те и так уже всюду плотны?

У нас здесь нет места, чтобы вдаваться в эти вещи. Мой совет — не думать о них слишком много. Это путь в безумие. (Действительно, Кантор закончил свои дни в лечебнице, хотя это и было в большей степени результатом врожденной предрасположенности к депрессии, усугубленной трудностями, с которыми его теории пробивались к признанию, нежели результатом слишком усердных размышлений о вещественной прямой. Его теории сейчас не подвергаются серьезным сомнениям.)

Но куда же нам теперь поместить комплексные числа? Вещественная прямая вся забита — и как забита! — рациональными и иррациональными числами. А ведь для каждого вещественного a имеется бесконечно много комплексных чисел вида a + bi, где b свободно бегает себе вверх и вниз по вещественной прямой. Что же с ними делать?

Последнее замечание подсказывает ответ. Для каждого вещественного числа нам нужна прямая, а поскольку вещественных чисел бесконечно много, нам нужно бесконечно много таких прямых бок о бок друг с другом. Это означает, что нам требуется плоскость. Тогда как вещественные числа можно выстроить для парада вдоль прямой, для комплексных чисел требуется плоскость — которую, разумеется, называют «комплексной плоскостью». Каждое комплексное число изображается точкой где-то на этой плоскости.

Простая одержимость. Бернхард Риман и величайшая нерешенная проблема в математике. - i_087.png

Рисунок 11.2. Комплексная плоскость и точка z на ней (изображена точка −2,5 + 1,8i); показаны ее модуль и фаза, а также сопряженное число.

Чаще всего комплексную плоскость рисуют так (рис. 11.2) что, вещественная прямая простирается с запада на восток. Под прямым углом к ней в направлении с юга на север проведена другая прямая, на которой живут все чисто мнимые числа: i, 2i, 3i и т.д. Чтобы добраться до числа a + bi, надо уйти на расстояние a на восток (на запад, если a отрицательно), а затем на расстояние b на север (на юг, если b отрицательно). Вещественная прямая и мнимая прямая (их чаще называют «вещественная ось» и «мнимая ось») пересекаются в нуле. Точки на вещественной оси имеют нулевую мнимую часть. Точки на мнимой оси имеют нулевую вещественную часть. Точка их пересечения — т.е. точка, расположенная на обеих осях, — имеет и вещественную, и мнимую части равными нулю. Это точка 0 + 0i, т.е. попросту нуль.

Введем три новых профессиональных термина. Модуль комплексного числа — это расстояние по прямой от этого числа до нуля. Обозначается модуль как |z|, что произносится «модуль зет». По теореме Пифагора модуль комплексного числа a + bi есть

Простая одержимость. Бернхард Риман и величайшая нерешенная проблема в математике. - i_088.png
. Это всегда положительное вещественное число или нуль. Фаза комплексного числа — это угол, составленный с положительной частью вещественной оси, измеряемый в радианах. (Один радиан равен 57,29577951308232… градуса; 180 градусов — это π радиан.) Фазу по соглашению считают углом, лежащим между −π (не включая) до π (включая), а обозначается она как Φ(z).[93] У положительных вещественных чисел фаза равна нулю, у отрицательных вещественных она равна −π, у положительных мнимых равна π/2, а у отрицательных мнимых фаза равна −π/2.

вернуться

93

В наше время фазу чаще называют «аргументом» и обозначают Arg(z). Я использовал старое название (в оригинале «amplitude» и Am(z) — пер.), отчасти из уважения к Г.Х. Харди (см. главу 14.ii), а отчасти чтобы избежать путаницы со словом «аргумент» для обозначения «числа, к которому применяется функция». (В переводе, следуя желанию автора избежать подобной путаницы, использован термин «фаза», который несет в себе некоторые «физические» коннотации, но в целом достаточно ясно указывает на то, что он призван обозначать. — Примеч. перев.)

46
{"b":"164054","o":1}