Литмир - Электронная Библиотека
Содержание  
A
A

Первое выжившее число — это 7. Следующий шаг состоит в том, чтобы, сохраняя теперь 7 в неприкосновенности, удалить каждое седьмое число после 7, если его еще не удалили до этого. Первое число, которое выживает после этого, — 11. И так далее.

Если проводить эту процедуру бесконечно, то оставшимися числами будут все простые числа. В этом и состоит «решето Эратосфена». Если остановиться прямо перед тем, как пришло время обрабатывать простое число p — другими словами, прямо перед тем, как надо будет удалять каждое p-е число, если оно еще не было удалено, — то мы получим все простые числа, меньшие p2. Поскольку выше мы остановились прямо перед обработкой семерки, у нас имеются все простые до 72, т.е. 49. После этого числа остаются и не простые числа, такие как 77.

III.

Решето Эратосфена — вещь достаточно простая. И ему уже 2230 лет. Как же оно перенесет нас в середину XIX века, к глубоким результатам в теории функций? А вот как.

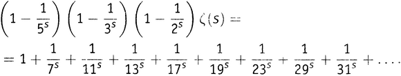
Я собираюсь повторить только что проведенную процедуру. (Именно по этой причине мы разобрали ее столь тщательно.) Но на этот раз я применю ее к дзета-функции Римана, которую мы определили в конце главы 5. Дзета-функция от некоторого аргумента s, большего единицы, записывается как

Простая одержимость. Бернхард Риман и величайшая нерешенная проблема в математике. - i_035.png

Стоит заметить, что такая форма записи предполагает выписывание всех положительных целых чисел — в точности как в начале наших действий с решетом Эратосфена (с тем только исключением, что на сей раз включена 1).

Сделаем такое: умножим обе части равенства на

Простая одержимость. Бернхард Риман и величайшая нерешенная проблема в математике. - i_036.png
. Получим

Простая одержимость. Бернхард Риман и величайшая нерешенная проблема в математике. - i_037.png

где мы пользовались 7-м правилом действий со степенями (которое говорит, например, что 2s умножить на 7s равно 14s). А теперь вычтем второе из этих выражений из первого. В одну из левых частей входит ζ(s) с множителем 1, а в другую — та же ζ(s) с множителем

Простая одержимость. Бернхард Риман и величайшая нерешенная проблема в математике. - i_036.png
. Вычитая, получаем

Простая одержимость. Бернхард Риман и величайшая нерешенная проблема в математике. - i_038.png

Вычитание устранило из бесконечной суммы все члены с четными числами. Остались только члены, в которые входят нечетные числа.

Вспоминая решето Эратосфена, умножим теперь обе части порченного равенства на

Простая одержимость. Бернхард Риман и величайшая нерешенная проблема в математике. - i_039.png
, руководствуясь тем, что 3 — это первое выжившее число в правой части:

Простая одержимость. Бернхард Риман и величайшая нерешенная проблема в математике. - i_040.png

Теперь вычтем это выражение из того, которое мы получили ранее. При вычитании левых частей будем рассматривать 

Простая одержимость. Бернхард Риман и величайшая нерешенная проблема в математике. - i_041.png
как неделимую штуку, — просто как некоторое число (каковым оно, конечно, и является при любом заданном s). Вся эта штука входит в левую часть одного выражения с множителем 1, а в левую часть другого — с множителем
Простая одержимость. Бернхард Риман и величайшая нерешенная проблема в математике. - i_039.png
. Вычитая, получаем

Простая одержимость. Бернхард Риман и величайшая нерешенная проблема в математике. - i_042.png

Из бесконечной суммы исчезли все члены, содержащие числа, кратные тройке! Первое выжившее число — это теперь 5.

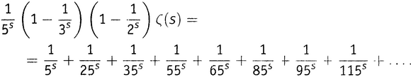
Умножив теперь обе части полученной формулы на

Простая одержимость. Бернхард Риман и величайшая нерешенная проблема в математике. - i_043.png
, будем иметь

Простая одержимость. Бернхард Риман и величайшая нерешенная проблема в математике. - i_044.png

А теперь, вычитая это равенство из предыдущего и рассматривая на этот раз 

Простая одержимость. Бернхард Риман и величайшая нерешенная проблема в математике. - i_045.png
как неделимую конструкцию, видим, что в левую часть одного выражения она входит с множителем 1, а в левую часть другого — с множителем
Простая одержимость. Бернхард Риман и величайшая нерешенная проблема в математике. - i_043.png
. Вычитание дает

Простая одержимость. Бернхард Риман и величайшая нерешенная проблема в математике. - i_046.png

Все слагаемые с числами, кратными 5, исчезли при вычитании, и первое выжившее число в правой части — это 7.

Замечаете сходство с решетом Эратосфена? Но вы должны заметить и отличие. При работе с исходным решетом мы оставляли сами простые числа в неприкосновенности, удаляя только их кратные — числа, полученные из них умножением на 2, 3, 4, …. Здесь же при вычитании мы устраняем из правой части как само простое число, так и все его кратные.

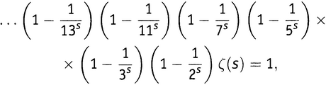
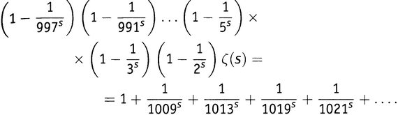
Если продолжать описанную процедуру до достаточно большого простого числа, скажем, до 997, мы получим

Простая одержимость. Бернхард Риман и величайшая нерешенная проблема в математике. - i_047.png

Теперь заметим, что если s — любое число, большее единицы, то правая часть этой формулы совсем ненамного больше чем просто 1. Например, при s = 3 правая часть этой формулы равна 1,00000006731036081534… Поэтому выглядит довольно правдоподобным предположение, что если продолжать указанный процесс до бесконечности, то для любого числа s большего 1 получится следующий результат (7.1):

Простая одержимость. Бернхард Риман и величайшая нерешенная проблема в математике. - i_048.png

где в левой части содержится ровно одно выражение в скобках для каждого простого числа, причем эти скобки продолжаются налево без конца. Теперь поделим обе части полученного выражения последовательно на каждую из этих скобок (7.2):

Простая одержимость. Бернхард Риман и величайшая нерешенная проблема в математике. - i_049.png
IV.

Это — Золотой Ключ. Чтобы он предстал перед нами во всей красе, давайте немного его почистим. Дроби с дробными знаменателями нравятся мне ничуть не больше, чем вам, а кроме того, есть еще полезные математические приемы, которые позволят нам сэкономить на наборе формул.

Прежде всего вспомним 5-е правило действий со степенями: оно говорит, что a−N есть 1/aN и a−1 есть 1/a. Поэтому выражение (7.2) можно записать поаккуратнее:

ζ(s) = (1 − 2−s)−1×(1 − 3−s)−1×(1 − 5−s)−1×(1 − 7−s)−1×(1 − 11−s)−1×….

Есть даже еще лучший способ. Вспомним про обозначение ∑, введенное в главе 5.viii. Когда мы складываем компанию слагаемых единообразной структуры, их сумму можно записать коротко, используя знак ∑; у этого имеется эквивалент для умножения, когда сомножители имеют единообразную структуру: тогда используется знак ∏. Это заглавная греческая буква «пи», используемая в этом качестве из-за слова «product» (произведение). Используя знак ∏, выражение (7.2) можно переписать таким образом:

Простая одержимость. Бернхард Риман и величайшая нерешенная проблема в математике. - i_050.png

Читается это так: «Дзета от s равна взятому по всем простым числам произведению от величины, обратной единице минус p в степени минус s». Подразумевается, что маленькое p под знаком ∏ означает «по всем простым».[55] Вспоминая определение функции ζ(s) в виде бесконечной суммы, можно подставить эту сумму в левую часть и получить

Золотой Ключ (7.3):
Простая одержимость. Бернхард Риман и величайшая нерешенная проблема в математике. - i_051.png

И сумма в левой части, и произведение в правой части простираются до бесконечности. Это, кстати, дает еще одно доказательство того факта, что простые числа никогда не кончаются. Если бы они вдруг кончились, то произведение в правой части содержало бы конечное число множителей, и тем самым мы его немедленно вычислили бы как какое-то число при абсолютно любом аргументе s.[56] При s = 1, однако, левая часть представляет собой гармонический ряд из главы 1, сложение членов которого «уводит нас в бесконечность». Поскольку бесконечность в левой части не может равняться конечному числу в правой, количество простых чисел с необходимостью бесконечно.

вернуться

55

Математика допускает бесконечные произведения точно так же, как она допускает бесконечные суммы. Как и бесконечные суммы, некоторые из бесконечных произведений сходятся к определенному значению, а некоторые расходятся к бесконечности. Данное произведение сходится, когда s больше 1. Например, при s = 3 оно равно

8/7×27/26×125/124×343/342×1331/1330×2197/2196×4913/4912×6859/6858×….

Сомножители становятся все ближе и ближе к 1, причем делают это очень быстро, так что каждое следующее умножение — это умножение на нечто, лишь на самую малую малость отличающееся от 1, что, конечно, меняет результат очень незначительно. Прибавим к чему-нибудь нуль: никакого эффекта. Умножим что-нибудь на единицу: никакого эффекта. В бесконечной сумме члены должны достаточно быстро приближаться к нулю, чтобы прибавление их сказывалось мало; в бесконечном произведении они должны достаточно быстро приближаться к 1, чтобы умножение них сказывалось мало.

вернуться

56

Все-таки кроме s = 0. (Примеч. перев.)

28
{"b":"164054","o":1}