Литмир - Электронная Библиотека
Содержание  
A
A

Но перерисовывали не только Птолемея. И эти перерисовки порой подбрасывают историкам весьма неприятные загадки…

В 2001 году в Шанхае один «новый китаец» по имени Лю Ган приобрел в антикварном магазине пыльную старую карту мира за немалые для Китая деньги – 500 долларов. Лю Ган коллекционирует старинные вещи, поэтому не поскупился. Карта была не то чтобы уж очень древняя – она датирована 1763 годом, – но на ней красовалась весьма любопытная надпись: «Эту карту перерисовал Мои Тонг, подданный династии Цинн в правление императора Гун Ли». Причем перерисовал с оригинала 1418 года!

То есть сама карта была сделана в XVIII веке, но изображение на ней было копией с какой-то карты 1418 года.

И что же увидела изумленная историческая общественность на карте, сделанной за 74 года до Колумба? Догадались?

Обе Америки!.. Причем целиком – и западное побережье, и восточное. Напомню, что Колумб в 1492 году причалил к восточному побережью, а потом десятилетиями и столетиями люди изучали и осваивали два огромных открытых континента. И до северо-восточного побережья Америки Джеймс Кук добрался только в 1778 году (с удивлением обнаружив там русских, которые добрались туда с другой стороны и объяснили Куку, что Америка – уже частично Россия).

Историки в карту Лю Гана не поверили. Либо она нарисована в XVIII веке, сказали они, а сведения о 1418 годе ложные… Либо поддельна вся карта, и несчастного китайского коллекционера-бизнесмена обвели вокруг пальца хитрые мошенники.

Но мы-то с вами знаем, что китайцы плавали в страну Фусан задолго до Колумба. Могли, соответственно, и карты составить. Тот же адмирал Чжэн Хэ.

Хотя, нет, не получается… Я ведь не зря не рассказал про эту карту, когда говорил о великих морских путешествиях китайцев. Не зря!.. Да, Чжэн Хэ велик, спору нет. Но эта карта слишком хороша для средневекового Китая. На нее нанесены оба побережья обеих Америк – и западное, и восточное. Как бы ни были великолепны китайцы, сделать такое силами одного адмирала они не могли. А кроме того, на карте в обеих Америках изображены реки, что требует немалого времени на изучение глубин материков. У европейцев это заняло сотни лет. А Чжэн Хэ был морским волком, а не сухопытным.

Кроме того, на карту нанесена небольшая Австралия… Ну, Австралия ладно – туда, по некоторым гипотезам, китайцы тоже доплывали, об этом сейчас пишутся целые книги… Но весь ужас исторического положения состоит в том, что на этой карте показана и Антарктида!

Если поверить, что карта нарисована в 1418 году, значит, до открытия Антарктиды оставалось 400 лет. А ведь туда нужно было не только сплавать, но и обследовать побережье, дабы нанести на карту береговую линию с полуостровами и заливами. Да, они указаны весьма схематично, но ведь указаны же! Не от балды ведь нарисован под Индийским океаном залив в Антарктиде! Не из пальца же он картографом высосан!..

А про то, что китайцы плавали в Антарктиду, не говорят даже сумасшедшие. Да и что им там было делать? Для чего китайцам годами обследовать береговую линию бесполезного континента, продираясь сквозь льды и мучаясь от постоянных штормов, не прекращающихся в этих широтах никогда? Торговать там не с кем. Рассказывать о величии китайского императора тоже некому. Разве что пингвинам…

Предсказание прошлого. Расцвет и гибель допотопной цивилизации - i_043.jpg

Таинственная китайская карта

Но даже если карта нарисована в 1763 году, а слова на ней про 1418 год – ложь, все равно до открытия Антарктиды еще 57 лет!.. Поэтому и не поверили историки в подлинность карты. Они предположили, что это довольно поздняя китайская копия европейских карт. Тем паче что на европейских картах Калифорния довольно долго изображалась как остров – как на этой китайской карте.

Историки в своем репертуаре. Не хотят верить. Хотя могли бы уже и привыкнуть, ведь подобных аномальных карт – куча!.. И самая известная из них – карта двух полушарий Герхарда Меркатора 1538 года. На этой карте, которую знают все историки и в подлинности которой никогда не было никаких сомнений, изображены:

а) Берингов пролив – за двести лет до Беринга;

б) Австралия – за двести лет до Кука;

в) Антарктида – что само по себе вообще сущее безумие!

(Правда, Антарктида изображена несуразно большой, но мы потом выясним, откуда взялась эта ошибка.)

Как же объясняют это историки? О, объяснение чудесное! Помните, как историк Берг объяснял наличие на картах XVI века Аниана – Берингова пролива? Случайно получилось… Вот и наличие Антарктиды на карте Меркатора объясняется глупой случайностью.

Предсказание прошлого. Расцвет и гибель допотопной цивилизации - i_044.jpg

Карта Меркатора. 1538 год

Звучит объяснение историков примерно так: в Средневековье предполагали, что на юге планеты должен быть какой-то материк, чтобы «уравновесить» планету. И он там как раз оказался! Ну чисто случайно!

А что значит, «уравновесить»?.. Понимаете, объясняют историки, вся суша сосредоточилась в северном полушарии, и если ее ничто не будет уравновешивать снизу, Земля просто «перевернется вниз головой» – так думали глупые средневековые ученые.

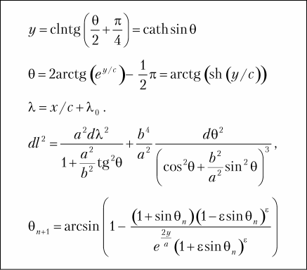
Я поражен. О глупости средневековых математиков вы сможете судить сами, посмотрев на картинку ниже. Там «нарисовано» математическое выражение проекции Меркатора. Эти формулы даются здесь без выводов и объяснений – просто в качестве иллюстрации «глупости» средневековых ученых.

Предсказание прошлого. Расцвет и гибель допотопной цивилизации - i_045.png

Математические формулы, описывающие проекции Меркатора без учета и с учетом «сплюснутости» Земли у полюсов

И я должен верить, что люди с таким уровнем абстракции будут всерьез рассуждать о том, что Земля «перевернется»? Под воздействием чего? Притяжения, действующего по направлению к «вселенскому низу»? Но в ту эпоху люди уже снова знали, что Земля – шар, и рисовали ее таковой на картах. А раз Земля – шар, то сила притяжения действует к ее центру, а не к некоему абстрактному «низу». Да и где вообще «верх» и где «низ»?..

Кроме того, Земля – центр мира. Так относительно чего же ей переворачиваться? И кто сказал, что она уже не «перевернута»? Кто и когда объявил, что север – это «верх»? Нарисуйте планету на листе бумаге северным полушарием вниз, и вот она уже перевернулась тяжелой сушей вниз, если вам так надо. То есть для того чтобы «перевернуть» планету, нужен лист бумаги, а не Антарктида.

Ну ладно, допустим, я чего-то не понимаю, а историки правы: средневековые ученые, оперирующие сферической тригонометрией и умеющие проецировать сферу на цилиндр, были сущие простаки и верили в то, что Земля без противовеса «перевернется». Поверим на секунду в этот детский сад. Допустим, они предполагали наличие внизу планеты некой «уравновешивающей», но еще не открытой суши. Но почему тогда не нарисовать эту сушу неким абстрактным полукругом? Однако Меркатор не ленится и вычерчивает у неизвестной земли полуострова и заливы. Он располагает сушу несимметрично относительно полюса, рисует острова…

Историки говорят: несмотря на то что нарисованная Меркатором Антарктида очень похожа на настоящую, это все – чистой воды придумка. И Меркатор вычерчивал придуманные из головы контуры континента с той же тщательностью, с какой наносил на карту реальные контуры реальных континентов. Дурачок был…

А между тем географы находят на картах Меркатора следующие географические пункты Антарктики: мыс Дарти, мыс Герлахер на Земле Мэри Бэрд, море Амундсена, остров Тарстон, остров Флетчера в море Беллинсгаузена, остров Александра I, Антарктический полуостров, море Уэдделла, мыс Норвегия, Берег Принца Гарольда, остров Падда в заливе Лутцо-Хольма, Берег Принца Олафа на Земле Эндерби.

В этой связи любопытна эволюция Антарктиды на старых картах.

В античные времена о Неведомой Южной Земле знали. И рисовали ее на карте. Потом ее рисовать перестали. Вновь начали рисовать в XVI веке. А затем, веку к XVII, по мере разочарования в поисках, опять перестали рисовать, потому что новый континент открыть долго не удавалось – моряки плыли к югу в поисках Неведомой Южной Земли, но там, где, судя по картам, уже давно должен был начаться материк, его не было.

35
{"b":"117070","o":1}