Литмир - Электронная Библиотека
14

Точно в подражание Фаулеру, Ив придумал лестное прозвище и для следующего, 1933 года. Он назвал его «рекордным годом». Но достаточно убедительных оснований для такой лести не привел.

Конечно, открытие тяжелого водорода было большим успехом американских экспериментаторов во главе с Гарольдом Юри. И конечно, сверхпорядочно было со стороны выдающегося калифорнийского физико-химика Джильберта Н. Люиса — того самого, что в 26-м году придумал для световых квантов имя «фотоны», — сверхпорядочно было из первой же порции с превеликими трудами добытой тяжелой воды послать Резерфорду для опытов 30 капель этой драгоценной влаги. И конечно, было существенно важно, что Резерфорд в содружестве с доктором Маркусом Олифантом и бакалавром Б. Б. Кинзи сразу же попытался провести новые ядерные превращения с участием заокеанского дейтерия. Но все-таки никак нельзя было бы сказать, что эти события принадлежали к числу «делающих эпоху».

Не принадлежал к такому высокому разряду и другой поиск, предпринятый Резерфордом в 33-м году по неостывшему следу пионерских работ Коккрофта и Уолтона. Он сам окрестил их пионерскими, отведя таким образом своим, собственным исследованиям более скромное место.

А главную роль в тех его исследованиях снова играл Маркус Лоренс Элвин Олифант — австралиец, появившийся на Фри Скул лэйн еще в 27-м году, почти одновременно с Уолтоном. У него, выходца из Антиподов, было, разумеется, не меньше шансов, чем у выставочного стипендиата Уолтона, стать тогда же соавтором сэра Эрнста. Но надо ли снова повторять, что совместное экспериментирование с Чадвиком исчерпывало в ту пору возможности Резерфорда?

Однако в 30-м году это многолетнее Резерфордово соавторство с Чадвиком подошло к естественному завершению. Финалом была их совместная (плюс Эллис) фундаментальная книга «Излучения радиоактивных веществ». И с тех пор они уже вместе не трудились ни за лабораторным столом, ни за письменным. У Резерфорда, очевидно, больше не поднималась рука превращать почти сорокалетнего, давно обретшего самостоятельность и независимость Чадвика в своего помощника. Тот по праву мог быть не вторым, а первым в любом исследовательском предприятии. И новыми соавторами Резерфорда начали становиться в 30-х годах тогда совсем еще безвестные бакалавры искусств и доктора философии. Он работал то с Вин-Вильямсом и Уордом, то с Боуденом и В. Люисом, то с Хартеком и А. Кемптоном.

К слову сказать, последнего не нужно путать с известным А. Комптоном, с которым Резерфорд тоже, правда, гораздо раньше, выступал как соавтор. Однажды, в декабре 1919 года, они вдвоем опубликовали в «Nature» крошечную заметку на довольно неожиданную тему — «Радиоактивность и гравитация». (Там сообщалось о безуспешной попытке измерить предсказуемое общей теорией относительности сокращение периода полураспада радиоактивного вещества, излучающего в сильном гравитационном поле. По основной аксиоме эйнштейновской теории роль такого поля могло играть бешеное вращенье на центрифуге. Но эффект был заведомо слишком ничтожен количественно для уверенных суждений.)

И вот начиная с 33-го года все чаще соавтором Резерфорда становился Маркус Олифант. Мемуаристы утверждают, что молодой австралиец, подобно Фаулеру и Капице, чем-то напоминал самого сэра Эрнста. Была в его лице та же привлекательная открытость, а в манере поведения — та же шумная непосредственность. А Бор уверял, что они вообще были людьми одного склада и одного типа работоспособности. Словом, не случайно Олифант стал последней кавендишевской привязанностью Резерфорда.

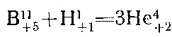
В 1933 году он запустил по заданию шефа новую установку для ускорения протонов. Она давала не 600 тысяч вольт, а в три раза меньше. Но зато на ней достигалась в сто раз более высокая плотность потока ускоренных частиц, чем у Коккрофта—Уолтона. И когда эта установка еще только монтировалась, Резерфорд, как бы подразнивая старого манчестерца Ганса Гейгера, сообщал ему, что скоро будет работать с такими бомбардирующими корпускулярными потоками, какие могла бы давать лишь глыба радия весом больше 100 килограммов. На этой-то установке Резерфорд вместе с Олифантом провел в 33-м году обширное исследование, для которого, однако, не нашлось иного заглавия, кроме совершенно описательного: «Эксперименты по превращению элементов с помощью протонов».

Варьировались мишени — от легких атомов до самых тяжелых. Менялась энергия протонов — от 20 тысяч до 200 тысяч электрон-вольт. Накапливалась статистика трансмутаций. Выяснялось, когда они происходят, а когда нет. И была в этой работе обстоятельность, но не было взлетов. Была систематичность, но не было озарений. И лишь в 7-м пункте ее итогов заключался впечатляющий результат: обстрел мишени из бора приводил к красивой ядерной реакции — рождались три гелиевых ядра, три альфа-частицы, разлетавшихся под углами в 120 градусов:

Резерфорд - i_004.png

Но и этот успех вряд ли заслуживал названия триумфального, как определил его Ив ради оправдания неосторожного прозвища — «рекордный год».

Если 33-й год и был для науки рекордным, то разве чго в трагическом смысле. Однако сначала еще немного об его радостях.

3 февраля лорд-председатель Совета Стенли Болдуин торжественно открывал на Фри Скул лэйн новую физическую лабораторию Королевского общества. Дело в том, что он был по совместительству и лидером английских твердолобых и канцлером Кембриджского университета. А кроме того, любил Резерфорда. Любил и ценил. Ценил до чрезвычайности высоко. И даже утверждал, что мир, сознавая величье работ Резерфорда, все-таки не отдает себе полного отчета в истинном их значении. А сэру Эрнсту не только приятно, но и полезно было, чтобы новую лабораторию открывал один из руководителей правительства: в глазах всех, кто финансировал науку, это придавало Кавендишу лишний вес.

Пятнадцать тысяч фунтов из Мондовского фонда были истрачены, по-видимому, наилучшим образом. Во всяком случае, так считали и Резерфорд и Капица. Первый — потому, что глубоко верил в плодотворность замыслов второго. А второй — потому, что лаборатория специально для него и строилась, да к тому же по его расчетам и планам.

— Открытие этой лаборатории — кульминация моих надежд последнего десятилетия… — сказал во время торжественной церемонии Резерфорд. И это не были застольные слова, вырвавшиеся от избытка чувств под впечатлением минуты. То была фраза из обдуманного и заранее написанного адреса.

Не обошлось без смешного происшествия… Да, адрес был написан задолго до торжества. И передан Болдуину в качестве шпаргалки для его будущей поздравительной речи. Резерфорд успел забыть об этом, а Болдуин, очевидно, давно привык не утруждать себя на официальных церемониях слушаньем чужих спичей. Выступая после Резерфорда, он как ни в чем не бывало прочитал тот самый текст, который только что огласил сэр Эрнст. Замечательно, что в аудитории, по словам Дирака и Капицы, никто даже не улыбнулся, сознавая, как нехорошо было бы испортить столь важный спектакль.

Так получилось, что, в сущности, дважды прозвучали слова:

«Кульминация моих надежд»!

Иным из кавендишевцев они показались чрезмерными. И непонятными. С новой силой в слабых душах пробудилось старое недовольство. Очередное возвышение «этого русского» было поистине беспрецедентным. И разве не физика ядра продолжала оставаться той областью, где концентрировались все вожделения Папы?| А между тем кульминацией его надежд, да еще в масштабах целого десятилетия, оказывалось создание наилучших условий для работы в иной области — сверхсильных магнитных полей…

Это недоумение поначалу казалось вполне здравым. Но недоумевающие не могли же пропустить мимо ушей простейший довод Резерфорда: мгновенные магнитные поля Капицы — «новое и мощное оружие исследования»! Эти слова содержались в том же приветственном адресе. Видимо, ему все больше нравилась декларация Капицы: «Одна сотая секунды — это громадное время, если вы знаете, как его использовать».

158
{"b":"101708","o":1}