Литмир - Электронная Библиотека
Содержание  
A
A

Если провести прямую линию от мыса Канаверал в юго-восточном направлении, она пройдет через острова Большой Багама (около 320 км от стартовых позиций). Большой Абако (440 км), Эльютера (560 км), Кэт (640 км), а затем уйдет на многие тысячи километров в открытый океан. Не считая восточной оконечности Южной Америки, ближайшей землей по направлению запуска ракет является берег Юго-Западной Африки (рис. 49).

Ракеты и полеты в космос - _49.png

Рис. 49. Флоридский испытательный полигон

Однако для первых испытаний, проводившихся на мысе Канаверал по «проекту Бампер», надобности в пунктах наблюдения на Багамских островах не возникло. Ракеты запускались на сравнительно небольшую дальность. Основной целью этих запусков был вывод ракеты «ВАК-Капрал», на максимально пологую траекторию (рис. 50).

Ракеты и полеты в космос - _50.png

Рис. 50. Типичные траектории полета ракет, запускавшихся по «проекту Бампер»

Новый испытательный полигон был настолько несовершенным, что долгое время самые простейшие и обычные на полигоне в Уайт Сэндз работы, например перевозка ракет из хранилища на стартовую позицию, представляли собой настоящие проблемы.

Первый пуск ракеты с мыса Канаверал был намечен на 19 июля 1950 года. С самого утра неудача следовала за неудачей. Пока ракеты готовили к пуску, над морем патрулировали шесть самолетов, предупреждавших корабли и суда о возможной опасности. За несколько минут до пуска один из этих самолетов вдруг сделал вынужденную посадку. В результате кнопка пуска ракеты не была нажата своевременно, и, поскольку весь график оказался нарушенным, испытание пришлось отложить на несколько часов. Все приготовления были проделаны еще раз, но в назначенный срок вышла из строя часть электронного оборудования. Временный ремонт вызвал еще одну задержку. Наконец все было готово. Точно по расписанию сработало пиротехническое запальное устройство, приводя в действие двигатель предварительной ступени ракеты. Раздалась команда «Основная ступень, огонь!» Но ракета не поднималась. Тогда полковник Тернер, приехавший во Флориду с полигона Уайт Сэндз, решил, что отказал один из клапанов, и приказал произвести отсечку двигателя предварительной ступени. В этот день пуск не состоялся.

24 июля испытание повторили со второй ракетой. На этот раз все шло отлично: ракета поднялась, как было намечено, и быстро исчезла в тонкой пелене перистых облаков. Достигнув высоты 16км, она начала выходить на наклонный участок траектории, чтобы продолжить полет в горизонтальной плоскости. В это же время ракета «ВАК-Капрал» отделилась от первой ступени, которая медленно снизилась и была подорвана на высоте 5км. Обломки «Фау-2» упали в море на расстоянии примерно 80км от стартовой позиции. Ракета «ВАК-Капрал», слишком маленькая для того, чтобы нести на себе приборы и подрывной заряд, упала в море в 320км от мыса Канаверал.

Долгий опыт чтения лекций о ракетах привел меня к мысли о том, что в пусках ракет по «проекту Бампер» имеется одна особенность, на первый взгляд кажущаяся несколько странной. Почему двигатель ракеты «ВАК-Капрал» запускался на высоте всего лишь около 32км, то есть сразу же по окончании работы двигателя ракеты «Фау-2»? Почему это не делалось, скажем, тогда, когда ракета «Фау-2» поднималась на максимальную высоту порядка 130км? Оказывается, все дело заключалось в том, что ракета «ВАК-Капрал» никогда не запускалась без ускорителя, да она и не могла бы стартовать сама без посторонней помощи. Поэтому, если бы она была запущена в точке максимального подъема первой ступени («Фау-2»), она прибавила бы к максимальной высоте ракеты «Фау-2» (130—160) всего лишь 40—50км. Причина же того, что ракета «ВАК-Капрал» в качестве второй ступени поднялась на высоту 402км, заключалась в ее отрыве от первой ступени не тогда, когда последняя достигла максимальной высоты, а когда она двигалась с максимальной скоростью.

Почему?

Для ответа на этот вопрос нам придется несколько углубиться в область теории. Начнем хотя бы с того, что было известно в виде закона Тартальи на протяжении ряда столетий. В 1540 году итальянский математик и специалист в области фортификации Никколо Тарталья, которому приписывают честь изобретения артиллерийского угломера-квадранта, открыл закон, устанавливавший определенное соотношение между дальностью стрельбы и высотой траектории орудия. Он утверждал, что максимальная дальность полета снаряда достигается при стрельбе под углом 45° и что если высота траектории составит при этом 1000м, то снаряд пролетит 2000м.

Это простое соотношение в действительности несколько нарушается из-за сопротивления воздуха, но почти полностью сохраняет свою силу в двух случаях: при малой дальности стрельбы очень тяжелым снарядом, похожим на литые пушечные ядра времен Тартальи, и при сверхбольшой дальности стрельбы, когда почти весь полет снаряд совершает в среде, близкой по условиям к вакууму. Об этом говорят характеристики ракеты «Фау-2», максимальная высота подъема которой равнялась 160км, а наибольшая горизонтальная дальность при высоте траектории около 80км составляла примерно 320км.

Никколо Тарталья установил это соотношение опытным путем; он не мог объяснить, почему, в частности, угол возвышения в 45° обусловливает максимальную дальность стрельбы. В наше время это явление объясняется очень просто. Дальность полета снаряда в безвоздушном пространстве(Х) определяется по формуле:

Ракеты и полеты в космос - f1.png

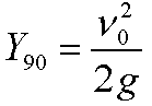
где n0 - начальная скорость снаряда, или скорость в конце активного участка траектории; Q0- угол возвышения, или угол наклона траектории в конце активного участка.Очевидно, sin 2Q0 имеет наибольшее значение при Q0 = 45. Максимальное значение высоты траектории в безвоздушном пространстве (Ym) выражается формулой:

Ракеты и полеты в космос - f2.png

а для вертикального выстрела: 

Ракеты и полеты в космос - f3.png

Для ракет высота траектории (Ym) должна определяться от точки в конце активного участка траектории. Тогда суммарная высота траектории ракеты составит:

Y=Ym+Yk

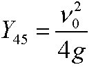
где Yk — высота в конце активного участка траектории. Высота траектории, соответствующая максимальной дальности полета (Y45°), может быть вычислена по формуле:

Ракеты и полеты в космос - f4.png

Закон Тартальи применяется и в настоящее время, но только для очень приблизительной оценки характеристик системы, так как по сути дела он ничего не объясняет.

Чем же определяется высота, достигаемая снарядом? Для простоты рассуждений остановимся вначале на особенностях полета обычного артиллерийского снаряда. Как показывают приведенные выше формулы, высота траектории снаряда при стрельбе в зенит определяется отношением скорости к силе земного притяжения. Очевидно, снаряд, покидающий ствол орудия со скоростью 300м/сек, поднимается выше снаряда, имеющего дульную скорость 150м/сек. В данном случае нас будет интересовать не столько высота подъема снарядов, сколько сам процесс их подъема и падения, а также их скорости в момент встречи с землей.

Представим себе теперь, что снаряды не испытывают сопротивления воздуха; тогда вполне законным будет утверждение, что снаряд, покинувший ствол орудия со скоростью 300м/сек при стрельбе в зенит, упадет на землю, имея скорость 300м/сек, а другой, обладавший дульной скоростью порядка 150м/сек, будет при падении иметь скорость 150м/сек. При этом оба снаряда достигнут различных высот. Если с этих же высот сбросить обычные бомбы, то их скорости при ударе о землю будут равны соответственно 300 и 150м/сек.

58
{"b":"947024","o":1}