Литмир - Электронная Библиотека
Содержание  
A
A

Шкуры и кожи играли важную роль в общей торговле Польши во 2-й половине XVI в., и, как заметил Рыбарский, объем торговли некоторыми видами шкур и кож выдерживает сравнение даже с современными масштабами торговли. Несомненно, значительная часть шкур, вывозимых в Польшу англичанами и шотландцами, проходила через эту страну транзитом, особенно по пути в немецкие земли.

Трудно поверить, что при значительном местном производстве и большом импорте с Востока такой огромный спрос на английские шкуры мог быть и в самой Польше. Тем не менее, как показывают жалобы данцигских кожевников,  шкуры и кожаные изделия, импортированные английскими и шотландскими купцами, конкурировали со шкурами от местных производителей и представляли тем большую угрозу, что, как и голландцы, англичане проникли в деревни и продавали шкуры и кожаные изделия (ремни, перчатки, чулки и т. д.) на месте, скупая при этом сырье по чрезвычайно низким ценам, уменьшая тем самым его количество, которое шляхта и крестьяне поставляли на данцигский рынок.

Таблица 7.19

Экспорт шкур с Запада в Прибалтику, 1562–1600 гг.

Торговые войны Англии с Ганзейским союзом. Борьба на Балтике за рынки России и Речи Посполитой в Елизаветинскую эпоху - i_035.jpg

Кроме шкур и кож, английские купцы поставляли белые дубленые шкуры, кожу в Прибалтику и были почти единственными экспортерами этого типа.

Шотландцы также в небольшой степени занимались торговлей. Экспорт английской белой кожи в Прибалтику составлял 5000—30 000 штук в год, в 1584 г. он достиг исключительной цифры – свыше 76 000, а в 1587 г. – даже 95 925 штук. Таким образом, регистры пошлин в Зунде позволяют нам продемонстрировать распределение экспорта шкур и кож, перевозившихся на английских судах в Балтийское море во 2-й половине XVI в. (табл. 7.20). Почти вся эта торговля шла в польские порты Данциг и Эльбинг и в меньшей степени – в Кёнигсберг, который к концу века стал более важным в этом виде торговли.

Таблица 7.20

Распределение экспорта шкур и кож в страны Балтийского моря на английских судах с интервалом в 10 лет, 1565–1595 гг.

Торговые войны Англии с Ганзейским союзом. Борьба на Балтике за рынки России и Речи Посполитой в Елизаветинскую эпоху - i_036.jpg

Подавляющее большинство шкур и кож, экспортируемых из Англии в страны Балтии, проходило через Лондон, который в этой области значительно превзошел северные города Халл и Ньюкасл. В 1595 г. доля Лондона достигла 97,8 %.

Таблица 7.21

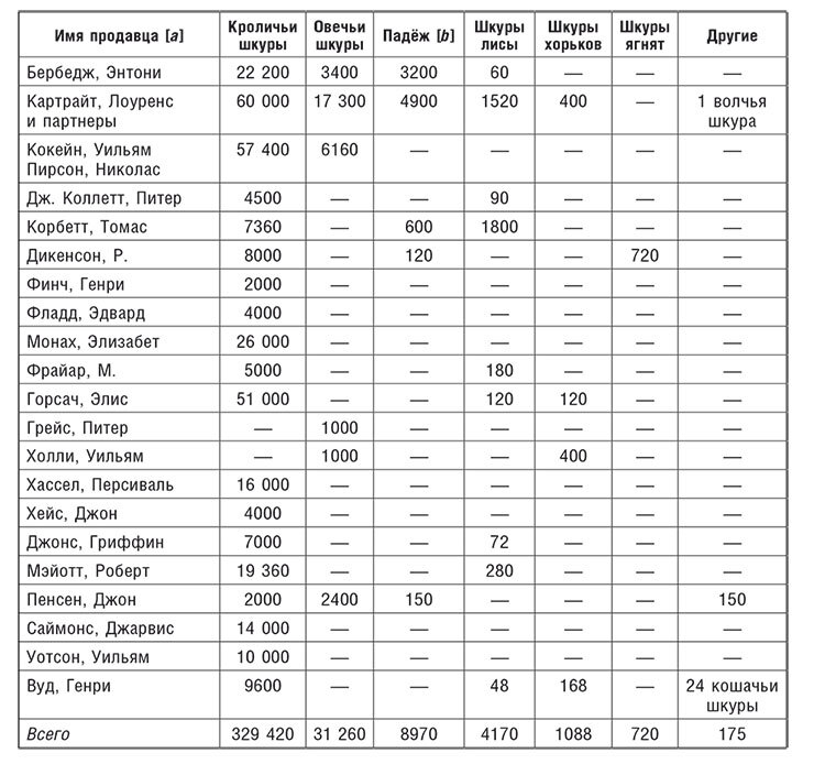
Лондонские экспортеры шкур в Данциг, 1575 г., согласно Лондонской портовой книге (количество шкур)

Торговые войны Англии с Ганзейским союзом. Борьба на Балтике за рынки России и Речи Посполитой в Елизаветинскую эпоху - i_037.jpg

Примечания.

[a] – имена торговцев даны согласно версии портовой книги.

[b] – Краткий оксфордский словарь английского языка (Оксфорд, 1959) определяет «падёж» как «животное, которое умирает от болезни или несчастного случая». (Похоже, этот термин относится только к овцам и ягнятам.)

Из портовой книги Лондона за 1576 г. следует, что основными экспортерами шкур в Данциг, куда в том году направлялся весь экспорт шкур из английской столицы в Прибалтику, были хорошо известные будущие члены Истлендской компании Уильям Кокейн, Николас Пирсон и особенно Лоуренс Картрайт (см. табл. 7.21). Большую часть их экспорта составляли кроличьи шкуры, остальную часть – небольшое количество овечьих, лисьих, хорьковых, даже кошачьих шкур и т. д.

Во 2-й половине XVI в. английский экспорт шкур имел тенденцию к стабилизации, хотя в 1584–1594 гг. наблюдался некоторый его рост. Хотя шкуры и кожи занимали 2-е место после сукна в английском экспорте в страны Балтии, их доля в общем экспорте страны в этот район составляла 11,5 % в 1565 г., 7,4 % – в 1575 г., 5,9 % – в 1585 г., 4,2 % – в 1595 г. и 3,8 % – в 1605 г., так что его значение явно снизилось.

B. Свинец и олово. Регистры пошлин показывают, что свинец занимает 3-е место после тканей и шкур в экспорте в страны Балтии. Его важность для экономики страны была признана автором стихов XVI в., в которых он упоминал важнейшее сырье английской промышленности:

В этом королевстве есть три товара: шерсть, олово и свинец,
Занимаясь ими внутри страны, каждый получит свой хлеб.

Со времен римлян в Англии добывались обильные запасы этого металла (о нем упоминает Плиний), особенно в северных и западных графствах – в Камберленде, Йоркшире, Нортумберленде, Дербишире и Сомерсете, а также в Уэльсе. В течение многих лет он также вывозился из Англии ее собственными и иностранными купцами, как в Средиземноморье, так и в североморские и балтийские районы. В данцигских портовых регистрах упоминается небольшой импорт английского свинца еще во 2-й половине XV в. В XVI в. большая часть свинца из Англии отправлялась в Прибалтику через Ньюкасл, как показывают регистры пошлин в Зунде и таможенные регистры Эльбинга. Немалую роль в этом бизнесе играл Халл, задействованы в ней также были Ярмут и Ипсвич.

Во 2-й половине XVI в. английские купцы имели подавляющее превосходство в вывозе свинца в Прибалтику, они сосредоточили в своих руках почти 100 % торговли. Голландцы и шотландцы имели лишь небольшую долю и ни в каком смысле не были соперниками Англии (см. табл. 7.22). Регистры пошлин в Зунде показывают, что экспорт свинца из Англии в страны Балтийского моря достиг наивысшего уровня в 1584–1591 гг. С тех пор наблюдался устойчивый спад, хотя торговля не прекратилась полностью до начала XVII в.

Таблица 7.22

Экспорт свинца и олова с Запада в Прибалтику, 1562–1600 гг.

Торговые войны Англии с Ганзейским союзом. Борьба на Балтике за рынки России и Речи Посполитой в Елизаветинскую эпоху - i_038.jpg

Примечания.

Шиффунт – единица веса, используемая в балтийской торговле в пределах от 300 до 400 фунтов = 20 лиспундов.

Лиспунд (ливонский фунт) – единица веса (12–30 фунтов), используемая в торговле на Балтике, а также на Оркнейских и Шетландских островах.

Во 2-й половине XVI в. Англия также имела превосходство в экспорте олова в Прибалтику, но оно играло гораздо более скромную роль в общем объеме ее экспорта. Как известно, добыча олова – одна из старейших добывающих отраслей Англии, и ее начало уходит корнями в сумерки предыстории, в экспедиции финикийцев и других купцов с юга. В Средние века Англия обладала монополией на производство олова в Европе. Из Фоуи, Фалмута, Плимута и Дартмута грузы отправлялись во Фландрию и Францию, а оттуда через Ла-Рошель и Бордо до Марселя и городов Средиземноморья.

Долгое время Кале был основным перевалочным пунктом английского олова на континенте. Как в английских, так и в ганзейских источниках упоминается экспорт английского олова в Прибалтику. В XVI в., несмотря на рост производства олова в Германии и Богемии, Англия по-прежнему оставалась крупнейшим экспортером. Самые богатые в стране месторождения минерала обнаружены в Корнуолле и, в меньшей степени, в Девоне. Добыча олова, как и все английские горнодобывающие и металлургические предприятия Елизаветинской эпохи, продемонстрировала определенные капиталистические тенденции, торговля была монополизирована небольшой группой богатых лондонских оптовиков, которые покупали металл у горняков Корнуолла и продавали его со 100 %-ной прибылью.

Основными потребителями экспорта свинца и олова в регион Балтии были польские порты, затем Дания (в случае свинца) и Рига (в случае олова) (см. табл. 7.23).

О большей доле Эльбинга во ввозе английского свинца, но особенно олова, свидетельствуют эльбингские таможенные регистры. Сравнивая их с регистрами пошлин в Зунде, оказывается, что Эльбинг взял на себя около четверти свинца и около половины олова, экспортированного в Прибалтику в конце XVI и начале XVII в. Свинец прибывал в Эльбинг на судах главным образом из Халла и Ньюкасла, олово – из Лондона, Олборо, Дувра, Ипсвича и Дартмута (см. табл. 7.24).

40
{"b":"938585","o":1}