Литмир - Электронная Библиотека
Содержание  
A
A

Значение напряжения срабатывания переключателей РПС-20, РПС-24, РПС-26, РПС-28 при работе якоря на отталкивание и притяжения значительно отличаются одно от другого, поэтому-то и нельзя одновременно подавать рабочие напряжения на прямую и обратную обмотки. Появляющийся при этом разностный магнитный поток оказывается достаточным для отрыва якоря от наконечника, но слишком слабым для его фиксации в одном из рабочих положений. Якорь при этом может зависнуть в некотором среднем положении.

Переключатель РПС-23, у которого каждая из обмоток разделена на равные части, размещенные на двух магнитопроводах, имеет симметричную магнитную цепь, поэтому он допускает перемену полярности напряжения, подаваемого на каждую из обмоток. При подаче одинакового напряжения одновременно на прямую и обратную обмотки их магнитные потоки взаимно компенсируются и якорь остается в исходном положении.

Дистанционные переключатели не рассчитаны на работу с включением обмоток через собственные контакты. При включении обмотки переключателя через свой контакт якорь не всегда успевает приобрести запас кинетической энергии, необходимый для перехода в другое положение, и зависает в неопределенном положении. Поэтому включать обмотки переключателей следует только через контакты других коммутирующих устройств.

Отсутствие магнитной экранировки у переключателей приводит к увеличению напряжения срабатывания при их установке вплотную один к другому из-за взаимного влияния. Для восстановления надежной работы переключателей в таких условиях необходимо увеличение рабочего напряжения примерно на 20 %. Поэтому не следует располагать переключатели на панели из магнитного материала и вблизи элементов, создающих магнитные поля.

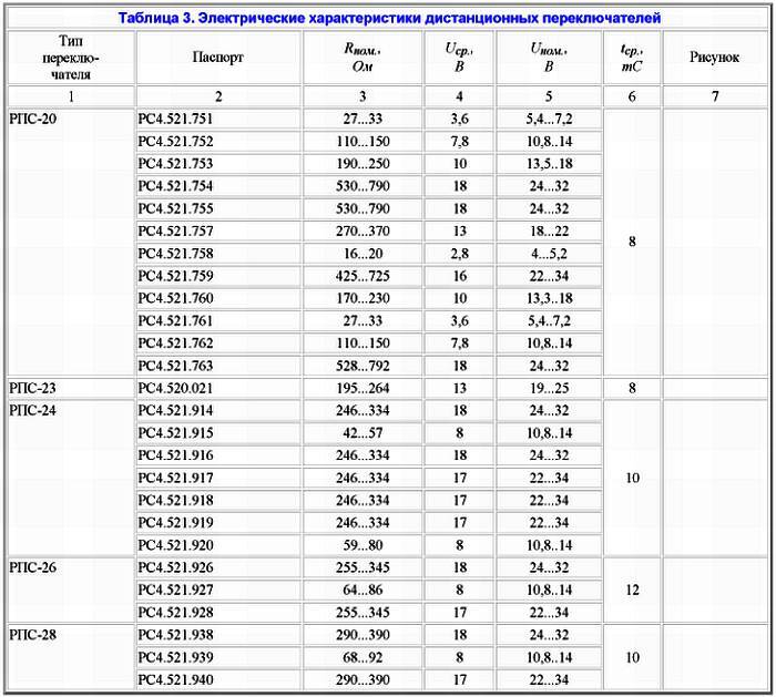
Основные параметры малогабаритных дистанционных электромагнитных переключателей приведены в таблице 3.

Рекомендации по выбору реле.

Надежность работы реле в аппаратуре различного назначения в значительной степени зависит от правильного выбора электрических режимов работы обмотки и контактов.

Рабочие напряжения и токи в обмотке реле должны находится в пределах допустимых значений. Уменьшение рабочего тока в обмотке приводит к снижению надежности контактирования, а увеличение к перегреву обмотки, снижению надежности реле при максимально-допустимой положительной температуре. Нежелательна даже кратковременная подача на обмотку реле повышенного рабочего напряжения, так как при этом возникают механические перенапряжения в деталях магнитопровода и контактных групп, а электрическое перенапряжение обмотки при размыкании ее цепи может вызвать пробой изоляции.

При выборе режима работы контактов необходимо учитывать значение и род коммутируемого тока, характер нагрузки, общее количество и частоту коммутации.

При коммутации активных и индуктивных нагрузок наиболее тяжелым для контактов является процесс размыкания цепи, так как при этом из-за образования дугового разряда происходит основной износ контактов.

Износостойкость контактов реле при коммутации цепей переменного тока с частотой до 1 000 Гц выше, чем при коммутации цепей постоянного тока, при одинаковой нагрузке. При увеличении частоты коммутируемого тока выше 1000 Гц эрозия контактов становится такой же, как и при коммутации постоянного тока.

Необходимо также учитывать, что разные контакты одного реле замыкаются и размыкаются не одновременно. Поэтому суммарный ток, коммутируемый параллельно соединенными контактами, не должен превышать максимально-допустимого значения для одной группы контактов.

Интернет-журнал "Домашняя лаборатория", 2007 №1 - _09.jpg_2
Интернет-журнал "Домашняя лаборатория", 2007 №1 - _10.jpg_1
Интернет-журнал "Домашняя лаборатория", 2007 №1 - _11.jpg_1
Интернет-журнал "Домашняя лаборатория", 2007 №1 - _12.jpg_1
Интернет-журнал "Домашняя лаборатория", 2007 №1 - _13.jpg_1
Интернет-журнал "Домашняя лаборатория", 2007 №1 - _14.jpg_2
Интернет-журнал "Домашняя лаборатория", 2007 №1 - _15.jpg_0

Примечание: 

1 — Цифры обозначают число контактных групп, буквы: з — замыкание; р — размыкание; п — переключение.

2 — Реле с серебряными контактами; контакты остальных реле из платино-иридиевого сплава.

3 — Реле этих типов с буквенным индексом А выпускают без крепежных уголков, а с буквенным индексом Б — с уголками.

В таблице применены следующие условные обозначения:

Rном. — номинальное сопротивление обмотки;

Iср. — ток срабатывания, не более;

Iопт. — ток отпускания, не менее;

Uраб. — рабочее напряжение;

Iраб. — рабочий ток;

tcp. - время срабатывания, не более;

tопт. — время отпускания, не более;

Интернет-журнал "Домашняя лаборатория", 2007 №1 - _16.jpg_1
Интернет-журнал "Домашняя лаборатория", 2007 №1 - _17.jpg_1
Интернет-журнал "Домашняя лаборатория", 2007 №1 - _18.jpg_1

Примечание

1 — Цифры обозначают число контактных групп, буквы: з — замыкание; п — переключение.

2 — При параллельном включении обмоток.

3 — При последовательном включении обмоток.

В таблице применены следующие условные обозначения:

Rном. — номинальное сопротивление обмотки;

Uср. — напряжение срабатывания, не более;

Uопт. — напряжение отпускания, не менее;

Uном. — номинальное напряжение;

tcp. - время срабатывания, не более;

tопт. — время отпускания, не более

Интернет-журнал "Домашняя лаборатория", 2007 №1 - _19.jpg_1

В таблице применены следующие условные обозначения:

Rном. — номинальное сопротивление обмотки;

Uср. — напряжение срабатывания, не более;

Uопт. — напряжение отпускания, не менее;

Uном. — номинальное напряжение;

tcp. - время срабатывания, не более;

Интернет-журнал "Домашняя лаборатория", 2007 №1 - _20.jpg_1

Примечание.

1 — данные по переменному току приведены для частоты 50…1000 Гц.

2 — для переключателей с паспортами PC4.521.756, PC4.521.760, PC4.521.761, PC4.521.762, PC4.521.763;

3 — для переключателей с паспортами РС4.521.916, РС4.521.919, РС4.521.920.

Интернет-журнал "Домашняя лаборатория", 2007 №1 - _21.jpg_1

Примечание.

1 — меньшая масса соответствует реле с буквенным индексом А, большая — с Б.

2 — для переключателей с паспортами РС4.521.917 от -10 до +40 °C, РС4.521.918 и РС4.521.919 от -60 до +60 °C;

3 — для переключателя с паспортом РС4.521.928 от -10 до +40 °C;

4 — для переключателя с паспортом РС4.521.940 от -10 до +40 °C.

130
{"b":"870517","o":1}