Литмир - Электронная Библиотека

Рис. 34. Параллельное соединение катушек индуктивности.

Индуктивные сопротивления катушек пропорциональны их индуктивности. Следовательно, они будут вести себя аналогично активным сопротивлениям.

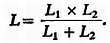
Итак, мы не ошибемся, если скажем, что две соединенные параллельно катушки L1 и L2 обладают общей индуктивностью, которая рассчитывается по формуле

Радио и телевидение?.. Это очень просто! - _94.jpg

И, наконец, рассмотрим случай двух соединенных параллельно конденсаторов (рис. 35).

Радио и телевидение?.. Это очень просто! - _95.jpg

Рис. 35. Параллельное соединение конденсаторов.

Здесь нужно складывать проводимости, которые представляют собой величины, обратные емкостным сопротивлениям. Но сами емкостные сопротивления, как вы помните, обратно пропорциональны емкостям. Это означает, что проводимости конденсаторов прямо пропорциональны их емкостям.

Следовательно, будучи соединенными параллельно, емкости складываются:

С = C1 + C2.

Впрочем, анализируя физические явления, происходящие при заряде конденсаторов, вы легко пришли бы к этому выводу.

Постарайся запомнить, дорогой Незнайкин, что при последовательном соединении компонентов складываются их сопротивления, а при параллельном соединении складываются проводимости, т. е. величины, обратные сопротивлению.

Комбинированное соединение

Все только что сказанное мною применимо лишь к схемам, состоящим из однородных компонентов. Но положение значительно усложнится, если мы соединим вместе активные сопротивления, катушки индуктивности и конденсаторы.

Здесь мне следовало бы использовать термин полное сопротивление, который, как показывает само слово «полное», означает комплексное сопротивление, состоящее из активного и реактивного сопротивления. В отличие от активного сопротивления, присущего тому или иному материалу проводника, индуктивное и емкостное сопротивления называют реактивными сопротивлениями.

Полное сопротивление обозначается буквой Z, а его обратная величина 1/Z и называется полной проводимостью.

Я не хочу утомлять вас рассмотрением всех возможных комбинаций. Мы ограничимся только теми, которые встречаются во всех электронных устройствах (табл. 2).

Радио и телевидение?.. Это очень просто! - _96.jpg

Рассмотрим для начала последовательное соединение катушки индуктивности с конденсатором (рис. 36).

Радио и телевидение?.. Это очень просто! - _97.jpg

Рис. 36. Последовательно соединенные катушка и конденсатор. Полное сопротивление цепи равно разности индуктивного и емкостного сопротивлений.

Их реактивные сопротивления складываются, но это не дает нам основания написать формулу со знаком плюс. В самом деле, индуктивное и емкостное сопротивления имеют как бы противоположные свойства.

Индуктивность, как вы знаете, задерживает появление тока при подключении к ней переменного напряжения. Это называется сдвигом по фазе, и ток в данном случае отстает от напряжения.

Обратное явление происходит в конденсаторе, где ток опережает напряжение по фазе. Ведь по мере нарастания заряда конденсатора напряжение на его обкладках увеличивается, но с приближением к насыщению величина тока убывает. Поэтому вас не удивит, что, складывая индуктивное сопротивление с емкостным, я перед последним поставлю знак минус:

Радио и телевидение?.. Это очень просто! - _98.jpg

Активное сопротивление в данном случае очень мало, и поэтому в приведенной выше формуле оно не учитывается. Но если величина R активного сопротивления значительна, то наша формула приобретает более сложный вид:

Радио и телевидение?.. Это очень просто! - _99.jpg

Как вы видите, нужно извлечь квадратный корень из суммы квадратов активного и реактивного сопротивлений, чтобы получить полное сопротивление.

Это ничего тебе не напоминает, Незнайкин, из области геометрии? Не таким ли образом рассчитывают длину гипотенузы (рис. 37), извлекая квадратный корень из суммы квадратов катетов?

Радио и телевидение?.. Это очень просто! - _100.jpg

Рис. 37. Соотношение между гипотенузой и катетами прямоугольного треугольника.

Явление резонанса

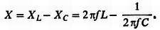
Вернемся к нашей схеме. Предположим, что мы будем изменять частоту f приложенного напряжения. По мере увеличения частоты индуктивное сопротивление 2πfL, которое ей пропорционально, тоже увеличивается. Что же касается емкостного сопротивления 1/2πfC, оно обратно пропорционально частоте и, следовательно, снижается. Стало быть, на очень низких частотах индуктивное сопротивление чрезвычайно мало, а емкостное сопротивление, напротив, очень высокое. Следовательно, реактивное сопротивление цепи, представляющее собой разность этих сопротивлений, высокое. Но по мере повышения частоты наступает момент, когда достаточно выросшее индуктивное сопротивление становится равным емкостному, которое соответственно уменьшилось. Их разность становится равной нулю. Тогда в формуле полного сопротивления под радикалом остается лишь R2; это означает, что в этот момент полное сопротивление равно активному сопротивлению R.

Активное сопротивление может быть очень низким. В том случае, когда частота достигнет такого значения, при котором индуктивное и емкостное сопротивления сравняются, полное сопротивление цепи станет почти равным нулю. Тогда говорят, что наступает явление резонанса. Ток, протекающий по цепи, достигнет наибольшего значения. При этом между током и создающим его напряжением нет сдвига по фазе. Все происходит так, если бы цепь обладала только очень низким активным сопротивлением.

Само собой разумеется, что при дальнейшем повышении частоты приложенного напряжения вновь появится реактивное сопротивление, потому что индуктивное сопротивление станет больше емкостного. Если раньше ток опережал по фазе напряжение, то теперь он отстанет от напряжения по фазе, так как теперь преобладает индуктивное сопротивление (рис. 38).

Радио и телевидение?.. Это очень просто! - _101.jpg

Рис. 38. Ток в катушке индуктивности отстает по фазе от напряжения (а), а в цепи конденсатора опережает его (б).

Могу ли я предложить вам еще один расчет, не выходящий за пределы элементарной математики? Весьма важно определить значение резонансной частоты, при которой реактивное сопротивление становится равным нулю, а это, вы знаете, наступает, когда индуктивное сопротивление становится равным емкостному. Запишем это условие, выразив индуктивное и емкостное сопротивления уже знакомыми вам формулами:

Радио и телевидение?.. Это очень просто! - _102.jpg

Разделив оба члена последнего равенства на 2πL и умножив их на f, получаем:

14
{"b":"556138","o":1}