Литмир - Электронная Библиотека

Во-вторых, закорачивается вход усилителя и измеряется среднеквадратичное напряжение шума на выходе ек. з. Получаем напряжение входного шума на корень из герца по выражению

iшек. з/(KUB1/2) В/Гц1/2,

где В — ширина полосы измерения (см. разд. 7.21).

В-третьих, присоединив к входным клеммам резистор R, измеряем новое значение среднеквадратичного напряжения шума на выходе еr. Значение сопротивления резистора должно быть достаточно большим, чтобы была заметна величина появившегося шума тока, но не настолько, чтобы доминировало входное сопротивление усилителя. (Если это практически невозможно, то оставьте вход разомкнутым и используйте в качестве R входное сопротивление усилителя.) Измеренное напряжение на выходе удовлетворяет соотношению

е2r = [е2ш + 4kTR + (iшR)2]BK2U,

откуда находится iш

iш= (1/R)[(е2r/BK2U) — (е2ш + 4kTR)]1/2

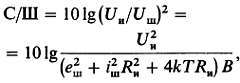
Если «немножко повезет», то иметь значение будет лишь первое слагаемое под корнем (т. е. шум тока преобладает над шумом напряжения усилителя и над тепловым шумом резистора, вместе взятыми). Теперь найдем отношение сигнал/шум для сигнала Uи с полным сопротивлением источника Rи

Искусство схемотехники. Том 2 (Изд.4-е) - _77.jpg

где числитель — квадрат напряжения сигнала (предполагается, что он лежит внутри полосы В), а слагаемые знаменателя — это квадраты напряжения шума усилителя, тока шума усилителя, проходящего через сопротивление Rи, и теплового шума Rи. Заметьте, что расширение полосы пропускания усилителя сверх пределов, необходимых для прохождения сигнала Uи, только уменьшает окончательное значение отношения сигнал/шум. Но если сигнал Uи широкополосный (например, он сам является шумом), то окончательное значение отношения сигнал/шум не зависит от ширины полосы усилителя. Во многих случаях в приведенном выражении преобладает одно из слагаемых.

7.19. Измерение с источником шума

Описанная техника измерения шумовых характеристик усилителя обладает тем преимуществом, что для нее не требуется точного и регулируемого источника шума, но зато нужен точный вольтметр и фильтр, а также должна быть известна частотная характеристика коэффициента усиления усилителя при данном сопротивлении подключенного источника. В альтернативном методе измерения шума предполагается подача на вход широкополосного шумового сигнала известной амплитуды и наблюдение за возрастанием напряжения выходного шума. Хотя эта методика требует точно калиброванного источника шума, зато не нужно никаких предположений о свойствах усилителя, так как характеристики шума измеряются прямо в интересующей нас точке — на входе.

Опять-таки необходимые измерения проводятся относительно просто. Генератор шума вы подсоединяете ко входу усилителя, будучи уверенными в том, что его полное сопротивление Rг — то самое, которое будет у источника, намеченного для работы с этим усилителем. Сначала вы определяете эффективное выходное напряжение шума усилителя при ослаблении источника шума до уровня нулевого выходного сигнала, затем увеличиваете среднеквадратичную амплитуду напряжения источника шума Uг до тех пор, пока выходной сигнал усилителя не увеличится на 3 дБ; это соответствует умножению среднеквадратичного напряжения на 1,414. Значение напряжения входного шума в полосе измерения при данном значении сопротивления источника равно значению добавленного сигнала. Таким образом усилитель имеет коэффициент шума

КШ = 10·lg(U2г/4kTRг).

Отсюда можно получить значение отношения сигнал/шум для сигнала любой амплитуды с тем же сопротивлением источника, пользуясь формулой, приведенной в разд. 7.12:

С/Ш = 10·lg(U2и/4kTRи) — КШ(Rи) дБ.

Существуют хорошие доступные калиброванные источники шума, большинство из которых предоставляют возможность ослабления до прецизионного уровня в микровольтовом диапазоне. Отметим еще раз: в приведенных формулах предполагается, что Rвх >> Rи. С другой стороны, если измерение коэффициента шума производится с согласованным источником сигнала, т. е. если Rи = Zвх, то в предыдущих выражениях необходимо опустить коэффициент 4.

Заметим, что этим способом еш и iш прямо не определяются, находится только определенная комбинация для источника с сопротивлением, равным сопротивлению возбуждающего генератора, который используется при измерении. Конечно, после нескольких таких измерений с разными сопротивлениями источника вы можете в результате вывести значения еш и iш.

Превосходной вариацией этого метода является использование теплового шума резистора в качестве «источника шума». Это излюбленный прием разработчиков усилителей радиочастоты с очень малым уровнем шума (в которых обычно полное сопротивление источника сигнала равно 50 Ом, и оно согласовано с полным входным сопротивлением усилителя). Делается это обычно следующим образом. В сосуд Дьюара с жидким азотом помещается 50-омная «заглушка» (так на профессиональном жаргоне называется хорошо спроектированный резистор с пренебрежимо малой индуктивностью или емкостью), так что она имеет температуру кипящего азота 77 К; вторая заглушка 50 Ом находится при комнатной температуре. Вход усилителя попеременно подключается к этим двум резисторам (обычно с помощью высококачественного коаксиального реле), в то время как мощность шума на выходе (на некоторой центральной частоте при некоторой полосе измерения) измеряется с помощью измерителя мощности радиочастоты. Назовем результаты этих двух измерений мощности выходных шумов для холодного и теплого резисторов соответственно Rхол и Rтепл. Легко показать, что температура шума усилителя на частоте измерения равна

Tш = (Tтепл - Tхол)/(Y — 1),

где Υ = Rтепл/Rхол есть отношение мощностей шума. Отсюда, воспользовавшись формулой из разд. 7.12, имеем для коэффициента шума

КШ(дБ) = 10·lg(Тш/290 + 1).

Упражнение 7.6. Выведите предыдущее выражение для температуры шума. Подсказка: для начала примите, чтоRтепл = α(Тш + Tтепл) и Rхол = α(Тш + Tхол), где α — константа, которая скоро сократится; обратите внимание также на то, что вклад шума усилителя, обозначенный как температура шума, добавляется к температуре шума резистора источника. Вычтите ее отсюда.

Упражнение 7.7. Температура шума (или коэффициент шума) усилителя зависит от величины полного сопротивления источника сигнала Rи. Покажите, что усилитель, характеризующийся величинами еш и iш (как на рис. 7.46), имеет минимум температуры шума при полном сопротивлении источника Rи = еш/iш. Покажите, далее, что при этом значении Rи температура шума определяется формулой Тш = еш·iш/2k.

22
{"b":"555625","o":1}