Литмир - Электронная Библиотека
Том 27. Поэзия чисел. Прекрасное и математика - _26.jpg

Задача Аполлония в случае, когда исходными тремя фигурами являются окружности (слева), имеет два решения (справа).

В самом общем случае, когда три данные окружности не касаются друг друга, задача имеет восемь разных решений.

Том 27. Поэзия чисел. Прекрасное и математика - _27.jpg

Для трех данных окружностей, не касающихся друг друга (слева), задача Аполлония имеет восемь решений (на рисунке в центре представлены два из них, на рисунке справа — третье).

Из множества вариантов расположения касательных окружностей рассмотрим один, особенно простой и элегантный. Окружности, расположенные таким образом, называются окружностями Форда и строятся по следующим правилам. Отметим на прямой линии значения дробей (или рациональные числа — так мы, математики, любим называть дроби), как показано на иллюстрации.

Том 27. Поэзия чисел. Прекрасное и математика - _28.jpg

Все дроби вида р/q, которые мы рассмотрим, являются несократимыми, то есть р и q не имеют общих делителей, при этом q — положительное число. К примеру, мы будем рассматривать не дробь 5/15, а эквивалентную ей несократимую дробь 1/3. В точках, соответствующих каждой дроби p/q, мы поместим окружность радиуса 1/(2q2), которая будет касаться прямой.

Том 27. Поэзия чисел. Прекрасное и математика - _29.jpg

Если мы будем использовать привычную систему декартовых координат для обозначения точек плоскости (читатель должен был познакомиться с декартовыми координатами в средней школе), то множество окружностей Форда будет образовано всеми окружностями с центром в точках (р/q, 1/(2q2)) и радиусом 1/(2q2).

Окружности Форда имеют немало удивительных свойств. Путем несложных расчетов можно показать, что две произвольные окружности Форда либо не пересекаются, либо касаются, как показано на двух следующих иллюстрациях.

Том 27. Поэзия чисел. Прекрасное и математика - _30.jpg

Окружности Форда, соответствующие дробям на интервале от 0 до 1, знаменатель которых меньше или равен 7. Так, изображенные на иллюстрации окружности соответствуют следующим дробям: 0, 1/7, 1/6, 1/5, 1/4, 2/7, 1/3, 2/5, 3/7, 1/2, 4/7, 3/5, 2/3, 5/7, 3/4, 4/5, 5/6, 6/7, 1.

Аналогичные расчеты показывают, что окружности Форда, соответствующие дробям p/q и Р/Q, касаются, если числа р·Q и Р·q отличаются на единицу; верно и обратное.

Том 27. Поэзия чисел. Прекрасное и математика - _31.jpg

Еще один фрагмент окружностей Форда. Изображенные на рисунке окружности соответствуют дробям между 1/2 и 1 со знаменателем, меньшим либо равным 11.

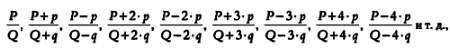
Также можно относительно просто доказать, что если окружности, соответствующие дробям p/q и Р/Q, касаются, то окружности Форда, соответствующие дробям

Том 27. Поэзия чисел. Прекрасное и математика - _32.jpg

будут касаться окружности, соответствующей дроби p/q. Кроме того, указанные дроби описывают все окружности Форда, касающиеся окружности, которая соответствует дроби p/q.

Том 27. Поэзия чисел. Прекрасное и математика - _33.jpg

Построение окружностей Форда, касательных данной.

Аналогично простые расчеты показывают, что окружности Форда, касающиеся данной, полностью окружают ее. Если бы мы могли изобразить на иллюстрации бесконечное множество этих окружностей, то увидели бы, что они бесконечно приближаются к дроби p/q, пока не «кусают» ее (см. рисунок выше и врезку ниже), как если бы они обладали столь же огромным аппетитом, что и донья Роса из романа Селы.

* * *

ПРОЖОРЛИВЫЕ ОКРУЖНОСТИ ФОРДА

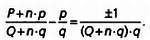
Представленные ниже простые расчеты должны убедить читателя, что окружности Форда, касающиеся данной окружности, соответствующей дроби p/q, неограниченно приближаются к точке, соответствующей этой дроби. Рассмотрим касающиеся окружности, расположенные слева от дроби p/q. Они соответствуют дробям (Рn·p)/(Q + n·q), где n — любое натуральное число. Теперь достаточно показать, что разность между этими дробями и p/q неограниченно уменьшается с увеличением n:

Том 27. Поэзия чисел. Прекрасное и математика - _34.jpg

Так как окружности, соответствующие дробям p/q и P/Q, касаются, то, как мы отмечали выше, числа р·Q и Р·q будут последовательными. Как следствие, их разность будет равна 1 или -1. С учетом этого предыдущее равенство примет вид:

Том 27. Поэзия чисел. Прекрасное и математика - _35.jpg

Так как n расположено в знаменателе, то с его увеличением разность между p/q и (Рn·p)/(Q + n·q) будет уменьшаться и в пределе, при бесконечно большом n, будет равна нулю.

* * *

Читатель согласится с тем, что окружности Форда настолько исполнены гармонии и элегантности, насколько отсутствие этих атрибутов характерно для доньи Росы; ее вздутого, как мех с оливковым маслом, живота, который Села называет «воплощением враждебности сытого к голодному».

Мартин Марко, или рациональное приближение иррациональных чисел

Оставим ненадолго донью Росу и окружности Форда и обратимся к биографии второго нашего героя — Мартина Марко, или рационального приближения иррациональных чисел.

Пифагор и пифагорейцы основывали математику и рациональное объяснение природы на том, что всю Вселенную можно свести к числам. Для пифагорейцев существовали только натуральные числа (1, 2, 3, 4, 5 и так далее) и дроби, которые можно было образовать из натуральных чисел. Тем не менее когда ученики Пифагора занялись простейшей геометрической операцией — измерением отрезков, основы их научной картины мира рухнули. Длина диагонали квадрата со стороной 1 оказалась в точности равна √2. Пифагорейцев постигло разочарование, когда они поняли, что √2 нельзя представить в виде дроби (об этом подробно рассказано на следующей странице). Что может быть проще, чем измерить диагональ квадрата? Однако даже ее нельзя точно выразить с помощью натуральных чисел и рациональных дробей. По легенде, Гиппас из Метапонта, пифагореец, раскрывший эту тайну кому-то из непосвященных, был сброшен в море с борта корабля и осужден вечно бороздить волны: «Раскрыв секрет невыразимого, он удостоился страшнейшего наказания — быть отделенным от сущего и низвергнутым в ничто, откуда прибыл».

Вскоре стало понятно, что, помимо чисел 1, 2, 3, 4, 5 и т. д., которые мы используем при счете, и дробей, которые образуются из натуральных чисел, нужны и другие, более «сложные» числа. Чтобы установить различия между «нормальными» и «сложными» числами, математики стали использовать символические названия: числа 1, 2, 3, 4, 5 и т. д. стали называться натуральными, а дроби, которые можно образовать из этих чисел, — рациональными.

10
{"b":"279480","o":1}