Литмир - Электронная Библиотека

Рунге рассказывает о каком-то английском математике, с которым он вел беседу еще два года тому назад и который был в отчаянии от одного непонятного места в книге Тодгентера. Рунге разъяснил ему это место и посоветовал ознакомиться с превосходными исследованиями Вейерштрасса и послушать его первые лекции по теории аналитических функций. На днях предстоят выборы в рейхстаг, но Рунге не выбирает, так как никто из трех кандидатов ему не нравится.

Следующие пять писем (31 октября, 1, 5, 7 и 17 ноября) связаны с корректурой статьи Софьи Васильевны о преломлении света в кристаллических средах, которая печаталась в «Acta mathematica». Рунге взялся просмотреть

ее и обнаружил много описок, неточностей и даже ошибок в выкладках, которые он рекомендует Ковалевской тщательно проверить. Он сделал бы это сам, но сейчас ему некогда, он готовится к лекциям.

В записке от 11 января 1885 г., относящейся ко времени пребывания Ковалевской в Берлине, Рунге пишет, что завтра, в понедельник, в 10 часов 45 минут он зайдет за Софьей Васильевной, чтобы им пойти вместе па его лекцию. Он надеется, что она получила свой бинокль, который остался в его пиджаке.

В архиве Миттаг-Леффлера имеется неоконченное письмо С. В. Ковалевской к К. Рунге и отрывок его письма. Может быть, это черновики писем. Одно написано в ответ на письмо Рунге от 11 февраля 1884 г., в котором он рассматривает систему дифференциальных уравнений

Софья Васильевна Ковалевская - _57.jpg

Софья Васильевна пишет:

Глубокоуважаемый господин Рунге! Большое спасибо за Ваше последнее письмо. Доказательство, которое Вы мне сообщаете, о существовании интегралов дифференциальных уравнений, как в случае, когда Rj, являются аналитическими функциями, так и любыми функциями, только удовлетворяющими определенным условиям, действительно очень красиво. Мне вчера представился удобный случай сообщить это доказательство моим слушателям во время семинара, где оно также было ими в высшей степени одобрено.

То замечание, которое находится в конце Вашего письма и которое относится к особым решениям дифференциальных уравнений, больше всего меня интересует, если даже я и не вполне убеждена, что поняла Вас правильно.

Можете ли Вы действительно показать, что имеются случаи, где неаналитическая функция является особым решением аналитического дифференциального уравнения (*)? Я могу себе легко представить, что это может случиться тогда, когда /?*. являются функциями с лакунарными областями, одпако разве это имеет место для алгебраических дифференциальных уравнений? До сих пор, по крайней мере, я всегда была уверена, что особые решения алгебраических дифференциальных уравнений являются не чем иным, как регулярными решениями других дифференциальных уравнений низшего порядка, и следовательно, ничего существенно нового дать не могут и что не следует ломать себе над этим голову. Вейер- штрасс также всегда исходил из этого, и на самом деле это кажется вытекающим из следующего соображения.

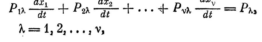
Каждая алгебраическая система дифференциальных уравнений может быть заменена другой, в которую производные входят только линейно, следовательно, системой следующего вида;

Софья Васильевна Ковалевская - _58.jpg
255

где Phi и Рк являются целыми функциями от t. Теперь могут встретиться два случая. Или детерминант

Софья Васильевна Ковалевская - _59.jpg

тождественно равен нулю, или нет.

В первом случае следует различать, равен ли тождественно нулю или нет каждый детерминант Dй, который получается из D заменой Р^,..., РЛц правыми частями Pi,..., Pv.

Если это так, то можно тотчас же показать, что рассматриваемая система дифференциальных уравнений недостаточна для полного определения яд, xz,.,.,xv как функций от t. Во втором случае уравнения Di=D2= ... =Z>V=0 дают различные соотношения, которые должны иметь место для яд, х2 ..., xv. Принимая во внимание эти уравнения, исключаем столько х\, сколько можно; для остальных получают систему дифференциальных уравнений той же формы, для которой, однако, детерминант не тождественно равен нулю.

Если теперь D не тождественно равен нулю, то для того, чтобы получить все же особые решения, для которых D=О, нужно взять V—1 любых из предложенных уравнений и присоединить к ним уравнение D=0. Для этой новой системы ищут все регулярные решения ii пытаются тогда между ними найти такие, для которых удовлетворяется последнее, v-e, отброшенное уравнение первоначальной системы.

Таким образом действуют и дальше; однако таким путем никогда нельзя прийти к неаналитическому решению данной системы. Должна ли я теперь названное место в Вашем письме понять так, что Вы действительно можете доказать* что может все же существовать неаналитическое решение алгебраического дифференциального уравнения?

Пожалуйста, будьте так любезны, напишите мне, что Вы об этом знаете. Если Ваше исследование не вполне зрело, то я, естественно, ни с кем не буду об этом говорить [Р 22].

Приведем отрывок письма Рунге:

Уравнение х2=2ау—а2 представляет для всех вещественных значений а семейства парабол, а прямые х=±у являются огибающими этого семейства. Оно представляет решение дифференциального уравнения

Софья Васильевна Ковалевская - _60.jpg

Где

Софья Васильевна Ковалевская - _61.jpg
являются его особыми решениями. Чтобы иметь ту же самую форму, которую мы имели в предыдущих письмах, я полагаю

r

Софья Васильевна Ковалевская - _62.jpg

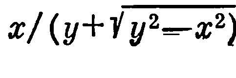
Функция

Софья Васильевна Ковалевская - _63.jpg
) имеет в каждой точке
Софья Васильевна Ковалевская - _64.jpg
определенное значение (кроме точки
Софья Васильевна Ковалевская - _65.jpg
; но она не разлагается в ряд по степеням
Софья Васильевна Ковалевская - _66.jpg
вблизи такой точки. Эти точки образуют границу области та для которой
Софья Васильевна Ковалевская - _67.jpg
является регулярной,

256

Однако мы не имеем лакунарной области, это является невозможным для алгебраических функций.

Возьмите теперь одно из двух особых решений, например х= у—t оно конечно, для всех значений t определено, однако эти точки (я, у) лежат на границе области т. Вопрос о том, имеют ли аналитические дифференциальные уравнения неаналитические решения, здесь, однако... [На этом отрывок кончается] [Р 23],

Эта переписка характеризует математические интересы Ковалевской и ее живую связь с математиками, получившими в Берлине математическое образование. Как видно, она быстро осваивается со способом Рунге доказательства теоремы существования для уравнений и систем уравнений достаточно общего вида и сразу начинает применять его в преподавательской практике. Высказывания Рунге об особых решениях вызывают у Ковалевской большой интерес и заставляют ее высказать свои соображения по этому вопросу, к сожалению, сохранившиеся лишь в виде отрывка.

Одним из друзей Ковалевской был Густав Ханземан, физик, не занимавший официального положения, человек состоятельный, сын прусского политического деятеля: Давида Ханземана, одного из лидеров крупной рейнской буржуазии. В 1848 г. Д. Ханземан стал министром финансов в прусском буржуазно-либеральном правительство и некоторое время являлся главой правительства.

Г. Ханземан не был математиком, но он поддерживал тесное знакомство с немецкими математиками, был в курсе всех их дел и писал о них Ковалевской. Им опубликованы три статьи по электрическим и температурным свойствам металлов, совместное Кирхгофом,вероятно,его учителем. Когда Ковалевская познакомилась с Ханзема- ном, он был уже пожилым человеком.

70
{"b":"267594","o":1}