Литмир - Электронная Библиотека

241. Примем старое количество единиц продукции, выпускаемых в единицу времени, за 1. При этом время, затрачиваемое на единицу продукции, равно 1. Новое количество единиц продукции стало 1,5. Значит, теперь время, затрачиваемое на единицу продукции, равно = 0,67, т. е. сократилось на 33 %.

Менеджмент. Учебник - _594.jpg

243. Первый экскаватор проработал на 4 часа меньше нормы и в результате недоработал 40 % задания. Значит, первый экскаватор способен выполнить 100 % задания за

Менеджмент. Учебник - _595.jpg

А за 8 часов первый экскаватор отработает 80 % задания.

Это означает, что второй экскаватор за 8 часов выполнил 100 - 80 = 20 % задания. А 100 %

задания второй экскаватор выполнит за

Менеджмент. Учебник - _596.jpg

244. Принимая работу, выполненную бригадой № 1 в час, за единицу, можно записать, что обе бригады в час выполняют:

Менеджмент. Учебник - _597.jpg

А за 10 часов обе бригады выполняют:

Менеджмент. Учебник - _598.jpg

Следовательно, бригада № 1 смогла бы самостоятельно выполнить данную работу за 23 : 1 = 23 часа, бригада № 2 - за 23 : 1,3 = 17,7 часа.

245. Принимая сторону садового участка до увеличения за 1, получим его периметр, равный 4, а площадь – 1. С увеличением периметра на 20 % его стороны также вырастут на 20 % и станут равны 1,2. Площадь при этом будет равна (1,2)2 = 1,44, т. е. вырастет на 44 %.

246. Принимая сторону садового участка до увеличения за единицу, получим его площадь, равную единице. Площадь участка с увеличением на 40 % его сторон станет равна 1,4 х 1,4 = 1,96, т. е. вырастет на 96 %.

247. Принимая сторону прямоугольного садового участка до увеличения за единицу, получим его площадь, равную единице. С изменением сторон участка его площадь станет равна 1,3 х 0,7 = 0,91, т. е. уменьшится на 9 %.

248. Находим, какие доли дома строительные организации строят за один год, и суммируем эти доли:

Менеджмент. Учебник - _599.jpg

Исходя из того, что эта суммарная доля строится за 365 дней, рассчитываем (из пропорции), за сколько дней строится единица дома:

Менеджмент. Учебник - _600.jpg

249.

Менеджмент. Учебник - _601.jpg

250. Поскольку копия легче натуры в 8 миллионов раз и сделана из того же металла, то ее объем должен быть меньше объема натуры тоже в 8 миллионов раз. Но объемы тел относятся, как кубы их высот. Следовательно, копия должна быть ниже натуры в

Менеджмент. Учебник - _602.jpg

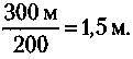
Высота Эйфелевой башни около 300 м, поэтому высота копии должна быть

Менеджмент. Учебник - _603.jpg

251. Поскольку объемы тел относятся, как кубы их линейных размеров, большая емкость должна быть в = 3 раза выше и шире. Поверхности же подобных тел относятся как квадраты линейных размеров, т. е. поверхность большей емкости в З2 = 9 раз больше, а значит, и в 9 раз тяжелее.

252. Объем меньшего блока будет в 53 = 125 раз меньше.

Следовательно, он будет весить

Менеджмент. Учебник - _604.jpg

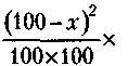
253. Обозначим через х количество спирта, который отлили в первый раз, и количество смеси, отлитой во второй раз. Тогда после первого отливания в емкости останется 100 - х спирта, а после доливания в нее воды в каждом литре смеси будет содержаться

Менеджмент. Учебник - _605.jpg

литров спирта.

После следующего отливания х литров смеси в емкости останется 100 - х литров смеси, в которой будет содержаться

Менеджмент. Учебник - _606.jpg

Менеджмент. Учебник - _607.jpg

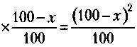
литров спирта. Затем после второго доливания воды в емкости будет 100 литров смеси, из которых

Менеджмент. Учебник - _608.jpg
литров составит спирт. Следовательно, процентное содержание спирта теперь равно

Менеджмент. Учебник - _609.jpg

Менеджмент. Учебник - _610.jpg

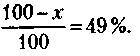
Известно, что это соответствует 49-процентному раствору спирта:

Менеджмент. Учебник - _611.jpg

Откуда х = 30 литров.

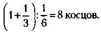
254. Примем площадь большого луга за единицу. Так как этот луг полдня косила вся артель и еще полдня – пол-артели, то, значит, за полдня пол-артели скашивает – большого луга.

Следовательно, участок, не докошенный половиной артели на малом лугу, равен

Менеджмент. Учебник - _612.jpg

Это и есть дневная норма одного косца. А количество косцов в среднем можно найти, разделив

то, что они выкосили за один день

Менеджмент. Учебник - _613.jpg
на дневную норму косца:

Менеджмент. Учебник - _614.jpg

255. Обозначим через х искомое количество граммов компонента коктейля с 50 % спирта, а через у – с 20 % спирта. Тогда условие задачи можно записать в виде следующего уравнения:

Менеджмент. Учебник - _615.jpg

Из этого уравнения следует, что у = 2х, т. е. количество 50-процентного компонента коктейля должно быть в 2 раза меньше, чем 20-процентного. Так, в килограмме коктейля должно быть 333 г 50-процентного компонента и 667 г – 20-процентного.

193
{"b":"210536","o":1}