Литмир - Электронная Библиотека

187. Надо разделить 25 руб. на 50 частей (49 + 1). Это даст 25 : 50 = 0,5 руб., что явится меньшей из двух частей. Большая часть будет содержать 49 частей и составит 0,5 х 49 = 24,5 руб.

188. По формуле теории вероятностей необходимое количество операций (N) будет равно:

Менеджмент. Учебник - _526.jpg

189. По формулам, приведенным в решении задачи 171:

1) Д = 100+ 50 =150 млн руб.

2) ОПР = 150 - 90 = 60 млн руб.

3) НПР = 35 % от ОПР = 21 млн руб.

4) ЧПР = 60-21 = 39 млн руб.

5) Взносы в бюджет из фонда оплаты труда (ВОТ):

ВОТ = 39 % от 50 млн руб. = 19,5 млн руб.

190. 1) 100 % + 20 % (это выручка + НДС) = 240 млн руб. Откуда НДС = 40 млн руб.

2) Предприятие уплатит НДС по формуле:

Менеджмент. Учебник - _527.jpg

Следовательно, 16,67 % от (300 - 240) млн руб. = 10 млн руб.

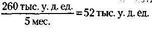
191. Средняя месячная оплата труда менеджера составляет:

Менеджмент. Учебник - _528.jpg

За 7 месяцев зарплата в деньгах составит:

52 тыс. у. д. ед. х 7 мес. = 364 тыс. у. д. ед.

Но за это время менеджер уже получил 240 тыс. у. д. ед. Следовательно, премия оценена в 364 - 240= 124 тыс.у.д.ед.

192. Выход существует. Ведь условия соглашения касаются лишь выигрыша первого дела. Значит, если учитель подаст в суд повторно, то оговоренное условие уже не будет действовать, и он сможет получить деньги по решению суда.

193. Для быстрого устного решения задачи нужно сообразить, что сумма последовательных чисел от 1 до 100 складывается из следующей суммы пар чисел: 1-го с последним, 2-го с предпоследним и т. д. Каждая такая пара равна в сумме 101, а всего таких пар 50.

Итак, нужно просто у множить 101 на 50, что легко сделать устно: 101 х 50 = 5050.

194. 80 % от 25 % равно 20 %.

Менеджмент. Учебник - _529.jpg

196. 12 павильонов (включая два административных).

Решение задачи ясно из рисунка.

Менеджмент. Учебник - _530.jpg

197. Эту задачу удобно начинать решать с конца. Обозначим через х конечные капиталы каждого из партнеров. Тогда к началу третьей операции (в этом месяце) текущие капиталы партнеров А, Б, В должны были соответственно составить

Менеджмент. Учебник - _531.jpg

К началу второй операции (месяц назад) текущие капиталы партнеров А, Б, В соответственно составляли

Менеджмент. Учебник - _532.jpg

А к началу первой операции (два месяца назад) начальные капиталы партнеров А, Б, В выглядели так:

Менеджмент. Учебник - _533.jpg

При этом потери партнера А равны:

Менеджмент. Учебник - _534.jpg

Следовательно, начальный капитал партнера А равен:

Менеджмент. Учебник - _535.jpg

партнера Б

Менеджмент. Учебник - _536.jpg

партнера В:

Менеджмент. Учебник - _537.jpg

198. Обозначим через х и у вложения в операции А и Б соответственно. Тогда условие задачи можно записать так:

Менеджмент. Учебник - _538.jpg

Менеджмент. Учебник - _539.jpg

Решим систему из двух уравнений с двумя неизвестными.

Из (1) следует: у = 8 - х.

Подставляя значение у в (2), получим:

Менеджмент. Учебник - _540.jpg

откуда

Менеджмент. Учебник - _541.jpg

Решая квадратное уравнение по стандартной формуле, получим:

Менеджмент. Учебник - _542.jpg

х1 = 6 (х2 не подходит, так как при нем х < у, что противоречит условию).

Следовательно, сумма вложения в операцию А равна 6 млн у. д. ед., в операцию Б: 8 – 6 = 2 млн у. д. ед.

199. Обозначим через х возраст сооружения Б. Тогда условие задачи можно записать так:

Менеджмент. Учебник - _543.jpg

Менеджмент. Учебник - _544.jpg

Следовательно:

возраст сооружения А – 9 лет,

возраст сооружения Б – 3 года,

возраст сооружения В – 45 лет,

возраст сооружения Г – 3 года,

возраст сооружения Д – 70 лет.

200. Обозначим через х количество дней, когда предприниматель был здоров, а через у – нездоров. Тогда условие задачи можно записать так:

Менеджмент. Учебник - _545.jpg

Здесь х и у – целые положительные числа.

Произведем перебор х.

При х = 1 выражение (*) будет таким:

Менеджмент. Учебник - _546.jpg

откуда

Менеджмент. Учебник - _547.jpg

(такое дробное значение у не подходит).

При х = 2 выражение (*) будет таким:

189
{"b":"210536","o":1}