Литмир - Электронная Библиотека

2) По тем же соображениям капитал третьего предпринимателя на 50 тыс. у. д. ед. больше, чем второго.

3) Следовательно, если сложить капиталы первого, второго и третьего предпринимателей, то разница в капиталах первого и второго взаимно компенсируется и общая сумма будет равна трехкратному капиталу второго предпринимателя.

4) Но сумма капиталов первого, второго и третьего предпринимателей – это и есть общий капитал без четвертого, который, как известно, равен 750 тыс. у. д. ед. Следовательно, капитал второго предпринимателя, в соответствии с п. 3, равен 750 тыс. у. д. ед.: 3 = 250 тыс. у. д. ед.

5) Следовательно, капитал первого равен 200 тыс. у. д. ед. (на 50 тыс. у. д. ед. меньше, чем у второго), капитал третьего равен 300 тыс. у. д. ед. (на 50 тыс. у. д. ед. больше, чем у второго).

6) Поскольку, как следует из п. 1 и 2, капитал четвертого предпринимателя на 50 тыс. у. д. ед. больше, чем третьего, он равен 350 тыс. у. д. ед.

150. 1) По формуле сложных процентов (проценты на проценты) завещанный капитал (В) через С лет составит К:

Менеджмент. Учебник - _470.jpg

где п – проценты на капитал, е – основание натурального логарифма, равное 2,731828.

Подставляя в формулу соответствующие значения, получим:

Менеджмент. Учебник - _471.jpg

С помощью таблицы сложных процентов, помещенной в приложении, получим:

С = 1000 х 131,539 = 131 539 фунтов стерлингов.

2) После выделения 100 тыс. фунтов стерлингов на постройку общественных зданий останется:

131 539 - 100 000 = 31 539 фунтов стерлингов.

3) Еще через 100 лет эта сумма составит (с учетом сложных процентов):

31 539 х 131 539 = 4 147 380 фунтов стерлингов.

4) После вычета из этой суммы 3 млн фунтов стерлингов бостонским жителям достанется:

4 147 380 - 3 000 000 = 1 147 380 фунтов стерлингов.

По данной формуле рассчитана таблица сложных процентов, помещенная в приложении к решениям.

151. Четыре брата и три сестры.

152. Решение данной задачи неоднозначно и зависит от толкования воли завещателя.

1) Если считать волей завещателя дать сыну наследство вдвое больше, чем матери ( и ), а дочери – вдвое меньше, чем матери ( ), то наследство следует разделить в пропорции: дочери – 1 часть, матери – 2 части, сыну – 4 части, т. е.

Менеджмент. Учебник - _472.jpg

2) Если же считать волей завещателя также желание оставить матери не менее наследства (первое толкование этот принцип нарушает: меньше ), то делить следует по-иному. За матерью должна быть закреплена наследства, а оставшиеся делятся между сыном и дочерью в упомянутом соотношении 1:4 (или ). Тогда дочь получает , сын , а мать наследства.

153. Обозначив искомый процент по вкладам через х, по формуле сложных процентов (см. решение задачи 150) получим:

Менеджмент. Учебник - _473.jpg

Логарифмируя с помощью таблицы логарифмов, получим:

Менеджмент. Учебник - _474.jpg

Менеджмент. Учебник - _475.jpg

Антилогарифм 1+ х = 1,042.

х = 4,2 %

154. Норма процента (НП) равна:

Менеджмент. Учебник - _476.jpg

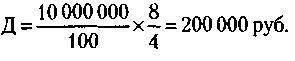
где Д – доход, Сс – величина ссуды.

Менеджмент. Учебник - _477.jpg

155. Величина ссуды (Сс) равна (см. решение задачи 154):

Менеджмент. Учебник - _478.jpg

156. Величина дохода (Д) равна (см. решение задачи 154):

Менеджмент. Учебник - _479.jpg

157. Банковская прибыль (БП) равна:

Менеджмент. Учебник - _480.jpg

158.

Менеджмент. Учебник - _481.jpg

159. 1) Положив деньги в банк, можно получить за год 8 тыс. руб. (8 % от 100 тыс. руб.).

2) Можно купить 4 привилегированные акции и получить 10 тыс. руб. дивидендов (10 % от 4 х 20 тыс. руб.).

3) Можно купить обыкновенные акции. Доход по ним определим исходя из следующих соображений.

После первоочередной выплаты по всем привилегированным акциям 200 тыс. руб. (80 х 25 х 10 %) на выплату по обыкновенным акциям останется 800 - 200 = 600 тыс. руб. Следовательно, на каждую обыкновенную акцию придется 6 тыс. руб. дивидендов , что составляет 30 %.

Если купить на все деньги 5 обыкновенных акций, то доход по ним составит 30 тыс. руб. (30 % от 100 тыс. руб.).

Следовательно, самое выгодное вложение капитала – покупка обыкновенных акций.

160. Суммарный капитал равен 150 млн руб. Прибыль на капитал равна

Менеджмент. Учебник - _482.jpg

Выплата за ссуду составит 5 млн руб. Предпринимательский доход равен 45 - 5 = 40 млн руб.

161. В соответствии с теорией статистических решений среднеожидаемая прибыль равна:

Менеджмент. Учебник - _483.jpg

Следовательно:

– при вложении капитала в кинофильм

Менеджмент. Учебник - _484.jpg

– при вложении капитала в торговлю

Менеджмент. Учебник - _485.jpg

Таким образом, выгоднее вкладывать капитал в торговлю.

162. При вложении денег один раз в год доход равен 150 тыс. руб. При вложении денег два раза на 6 месяцев (с учетом вложения дохода за первое полугодие) доход равен 172,25 тыс. руб. При вложении денег четыре раза на 3 месяца (с учетом вложения доходов за каждый квартал) доход равен 185,6 тыс. руб.

Следовательно, выгоднее всего вкладывать деньги на 3 месяца.

163. 1) Издание книги будет безубыточным (точка безубыточности – ТБ) при тираже:

186
{"b":"210536","o":1}