Литмир - Электронная Библиотека

Задача заключается в том, чтобы наилучшим (оптимальным) образом распределить имеющиеся ресурсы по предприятиям, т. е. найти неизвестные величины xj, требуемые для этого количества предприятий данного типа.

ПРИМЕР

Собственник располагает четырьмя видами ресурсов (m = 4). Это, например, денежные средства, производственные помещения, оборудование, сырье. Ресурсы необходимо распределить между шестью предприятиями (п = 6). Предприятия различаются по экономическим условиям деятельности: месту расположения, системе налогообложения, стоимости энергии, оплате труда и т. д., в связи с чем имеют разные издержки производства. Относительные уровни издержек заданы табл. 16.2.

Таблица 16.2

Относительные уровни издержек на предприятиях

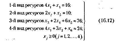
Распределение ресурсов по предприятиям сопряжено с необходимостью учета ряда ограничений, которые могут быть описаны системой четырех уравнений с шестью неизвестными, аналогичной системе (16.10):

Менеджмент. Учебник - _115.jpg

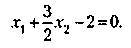
Рис. 16.1. График оптимального распределения ресурсов

Менеджмент. Учебник - _116.jpg

Смысл первого уравнения в нашем примере в том, что ресурс вида 1, общий ресурс которого составляет 16 единиц, может размещаться в количестве четырех единиц на предприятии первого типа и одной единицы – на предприятии четвертого типа. Аналогично раскрывается смысл второго и последующих уравнений. Последнее условие говорит о том, что число предприятий не может быть отрицательным.

Необходимо определить, какое количество предприятий каждого типа следует иметь, чтобы общие издержки были минимальными.

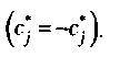
В соответствии с табл. 16.1 целевая функция, подлежащая оптимизации, примет вид:

Менеджмент. Учебник - _117.jpg

Решение

Решение задачи сводится к выполнению ограничений, заданных уравнениями (16.12), с учетом условия минимизации выражения (16.13).

В нашем примере, когда п - т = 2, каждое из ограничительных линейных уравнений (16.12), а также линейная функция (16.13) могут быть представлены геометрически в двухмерном пространстве (на плоскости).

Чтобы представить ограничения и целевую функцию на графике, необходимо выразить все известные через независимые величины. Например, x1 и х2, соответствующие координатным осям, относительно которых будет производиться построение (рис. 16.1).

Из уравнений (16.12) следует:

Менеджмент. Учебник - _118.jpg

Целевая функция примет вид

Менеджмент. Учебник - _119.jpg

Из сопоставления уравнения (16.14) и последнего из ограничений (16.10) xj 0 следует:

Менеджмент. Учебник - _120.jpg

Каждому из неравенств (16.16) на графике рис. 16.1 соответствует полуплоскость, в пределах которой находятся все допускаемые данным неравенством значения переменной величины xj (j = 1, 2,..., 6). Так, неравенству x1 0 соответствует полуплоскость вправо от оси х2 (граница ее заштрихована). Неравенству x3 = 8x1 + 12х2 - 16 0 соответствует полуплоскость вправо и вверх от линии граничного значения данного неравенства (при х3 = 0). Уравнение этой линии:

Менеджмент. Учебник - _121.jpg

Таким же образом можно построить границы, определяемые другими уравнениями.

Неравенствам (16.16) соответствует некоторая область – шестиугольник ABCDEF, образованный границами упомянутых выше полуплоскостей. Эта область может быть названа областью допустимых планов, поскольку любая точка в ее пределах отвечает требованиям наложенных ограничений (16.12).

Из всех допустимых планов нас интересует оптимальный план, при котором функция цели у достигает минимума.

Целевой функции соответствует семейство параллельных прямых. Рассмотрим одну из них, проходящую через начало координат, что будет иметь место при у = 22,8. При этом x2 = 3x1.

Интересующая нас прямая у = 22,8, как видно на рис. 16.1, имеет наклон вправо от оси х2. Задаваясь различными значениями у, получим семейство прямых линий, параллельных прямой у = 22,8, проходящей через точку 0. При этом чем меньше будет значение у, тем, очевидно, правее будет располагаться соответствующая прямая.

Поскольку мы добиваемся минимального значения у, то нас будет интересовать прямая, расположенная в наибольшем удалении вправо от прямой у = 22,8 и проходящая через многоугольник ABCDEF, – прямая ymin.

Единственной точкой, соответствующей оптимальному плану, будет та вершина многоугольника ABCDEF, которая одновременно принадлежит области допустимых планов и отвечает требованию минимизации целевой функции у, - вершина С. Из уравнения прямой ЕС, проходящей через точку С, следует, что х1 = 4. Из уравнения прямой DC, проходящей через ту же точку, следует, что x2 = 0.

Подставляя полученные значения x1 = 4 и x2 = 0 в уравнения (16.14), определим величины остальных переменных, составляющих оптимальный план:

Менеджмент. Учебник - _122.jpg

Таким образом, оптимальный план будет следующим:

Менеджмент. Учебник - _123.jpg

Линейная форма (величина издержек) при этом будет минимальной:

Менеджмент. Учебник - _124.jpg

На практике встречается ряд задач, аналогичных рассмотренному примеру, но требующих максимизации целевой функции (например, величины дохода или прибыли).

При решении этих задач целевая функция рассчитывается по формуле, аналогичной (16.11):

Менеджмент. Учебник - _125.jpg

где у* – целевая функция, подлежащая максимизации. Отличие заключается в том, что знаки перед всеми постоянными коэффициентами меняются на обратные

Менеджмент. Учебник - _126.jpg

153
{"b":"210536","o":1}