Литмир - Электронная Библиотека
Содержание  
A
A

Производство японских бомбардировщиков "нового поколения" началось в то время, когда возможности японской авиапромышленности были уже подорваны ударами американской авиации и дефицитом конструкционных материалов. Поэтому выпуск новых самолетов шел медленнее, чем планировалось. Из-за нехватки летного состава и отсутствия бензина многие из них так и не смогли принять участие в боевых действиях, другие были переоборудованы в ночные истребители и самолеты-снаряды.

Основными конкурентами японских двухмоторных бомбардировщиков были американские В-25 и В-26. За годы войны их выпустили почти 15 тысяч экземпляров: 9816 В-25 и 5157 В-26. В соответствии с американской конструкторской шкалой того времени они имели выскорасположенное крыло, двигатели воздушного охлаждения и шасси с убирающейся п фюзеляж носовой стойкой.

В-25 "Митчелл" (это название самолет получил в честь американского генерала У. Митчелла, много сделавшего для развития бомбардировочной авиации в США) разработали конструкторы фирмы "Норт Америкен" Л. Этвуд и Р. Райе. Его отличали неплохие хля начала 40-х годов скоростные качества (\'макс=490 км/ч, с 1360 кг бомб), хорошие пилотажные характеристики, удобная кабина с расположенными рядом креслами пилотов, мощная активная (от 5 до 14 пулеметов, в зависимости от модификации) и пассивная (бронеплиты, самозатягивающиеся при простреле баки, заполненные инертным газом) зашита. Внешней особенностью машины было двух- килевое хвостовое оперение, нехарактерное для большинства американских бомбардировщиков (рис. 4.44).

В-25 поступил на вооружение в 1940 г. Широкую известность он получил после дерзкого рейда 16 В-25В под руководством Д. Дулиттла в 1942 г. на столицу Японии и ее другие крупные города. Необычность этого напета, ставшего как бы символическим актом возмездия за Пирл Харбор, заключалась в том, что достичь Токио в то время можно было только с палубы корабля (все ближайшие острова контролировали японские войска), и взлет тяжело загруженных "сухопутных" бомбардировщиков происходил с авианосца "Хорнет". находившегося в 1150 км от побережья Японии.

История самолетов 1919 – 1945 - pic_245.jpg

Рис.4.44. Норт-Америкен B-25D "Митчелл"

Самолеты достигли цели, но на обратном пути большинство машин из-за нехватки горючего погибло в океане.

Кроме Тихоокеанского театра военных действий В-25 участвовали в войне в Европе, поступали в качестве военной помощи союзникам по антигитлеровской коалиции. Самым массовым вариантом самолета был B-25J, их построили 4318 [24, с. 23].

Бомбардировщик В-26 "Марадер" был принят на вооружение на год позже "Митчелла". Фирма-разработчик "Мартин" считалась в США лидером в создании бомбардировщиков, и военные возлагали на новый самолет большие надежды, тем более, что на нем стояли новейшие американские двигатели Пратт-Уитни R-2800, на 300 л.с. более мощные, чем "Циклоны" на В-25. Однако начало его освоения в частях сопровождалось многочисленными авариями. Причиной этого явилась очень большая нагрузка на крыло – 253 кг/м² и, как следствие, необычно высокая скорость срыва – 196 км/ч (у земли)(39*).

Когда пилоты освоились с особенностями В-26, его начали активно применять на всех фронтах второй мировой войны, и самолет даже зарекомендовал себя в Европе как наименее уязвимый среди использовавшихся там американских бомбардировщиков 110, с. 2291.

Возвращаясь на европейский континент, рассмотрим кратко некоторые особенности развития двухмоторных бомбардировщиков в Германии и Англии.

39* Цифры для сравнения: истребитель F-51U имел Усрыва-161 км/ч. а одномоторный бомбардировщик "Хеллдайвер" – 127 км/ч [13.с. 484.].

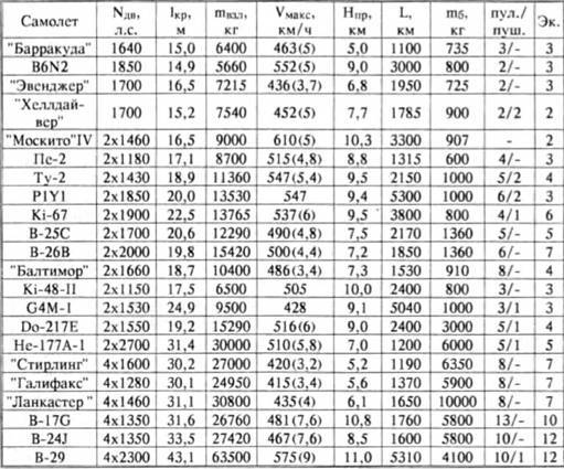
Таблица 4.11. Характеристики некоторых бомбардировщиков, посту пивших на вооружение в годы второй мировой войны
История самолетов 1919 – 1945 - pic_246.jpg

За годы войны немцы не создали ни одного нового двухмоторного бомбардировщика. Вначале ослепленное успехом первых побед немецкое военное руководство считало излишним обновлять парк бомбардировочной авиации, а когда Германия перешла к обороне, главной задачей стал выпуск истребителей.

Это, однако, не означает, что немецкие конструкторы не уделяли внимания совершенствованию своих бомбардировщиков. На протяжении всех лет войны их конструкция непрерывно модифицировалась, подчас претерпевая весьма существенные изменения.

Основными типами немецких двухмоторных бомбардировщиков в начале войны были Не-111, Do-17 и пикирующий Ju-88. В 1939 г. их произвели соответственно 452, 231 и 69 экземпляров [3. с.А23].

Хейнкель Не-111, применявшийся еще в испанской войне, ко времени второй мировой войны явно устарел. Крыло большой площади, проектировавшееся для коммерческого самолета, служило источником значительного сопротивления. Это делало самолет тихоходным: даже в последних модификациях его скорость лишь немного превышала 400 км/ч. Попытки повысить боеспособность путем усиления оборонительного вооружения еще больше ухудшали летные характеристики и, в результате, в начале 40-х годов Не-111 превратился из держателя рекордов скорости в "небесный тихоход", применяемый, в основном, для вспомогательных военных задач (высотная разведка, транспортные перевозки и т.д.). Устарелость самолета к 1941 г. признавал даже его конструктор, Э. Хейнкель [31, с. 122]. В этой связи вызывает удивление тот факт, что выпуск машины продолжался вплоть до конца 1944 г., причем в весьма больших количествах.

Основным недостатком бомбардировщика Дорнье Do-17, также созданного на основе коммерческою самолета, был слишком узкий фюзеляж, не позволявший брать на борт большое количество бомб и топлива. Так, Do-17Z, с двумя моторами Брамо воздушного охлажден и я мощностью по 1000 л.с., мог перевозить 1 тонну бомб на дальность чуть более 1000 км, т.е. его боевой радиус составлял всею окаю 500 км.

В 1940 г. конструкторы фирмы предприняли радикальную переделку самолета. Сохранив общую аэродинамическую компоновку машины, они увеличили се размеры и установили новые 1550-сильные звездообразные двигатели BMW-801. Этот вариант, получивший обозначение Do-217E, мог брать уже 3000 кг бомб и имел дальность 2400 км, а максимальная скорость полета возросла более чем на 50 км/ч и достигла 516 км/ч (на высоте 5500 м).

В момент появления Do-217 представлял собой один из лучших "средних" бомбардировщиков, но военные, основываясь на успехе использования пикирующих бомбардировщиков Ju-87 в первые месяцы войны, решили сделать основную ставку на развитие Ju-88, приспособленного для бомбометания с пикирования. Поэтому Do- 217 построили сравнительно немного – 1730 штук (из них 364 – в качестве ночного истребителя), и их выпуск прекратился уже в 1943 г. (40*)

Самым массовым немецким бомбардировщиком стал Юнкере Ju-88. Достоинствами этой машины, поступившей на вооружение в сентябре 1939 г., были возможность дополнительного размещения бомб общим весом до 1000 кг под крыльями, наличие автомата для ввода и вывода самолета из пикирования, большой запас топлива, обеспечивающий дальность 2200 км при бомбовой нагрузке 1400 кг (Ju-88A-1), высокая боевая живучесть благодаря герметически изолированным и протектированным топливным бакам и дублированию бензопроводов и тяг управления самолетом [36].

Ju-88 проектировался как скоростной бомбардировщик и в момент появления таковым и являлся. Высокая скорость пикирования позволяла ему в 1939-1940 гг. даже уходить от "Спитфайров". Однако опыт "битвы за Англию" все же заставил конструкторов изменить оборонительное вооружение с 3 до 7 пулеметов, усилить броню, для повышения дальности полета размах крыла сделать на 1,6 м больше (Ju-88A-4). В результате самолет потяжелел более, чем на две тонны и, несмотря на увеличение мощности двигателей Jumo-211 с 1200до 1340 л.с., высотно-скоростные характеристики машины практически не улучшились. К середине войны самолет не только не мог оторваться от истребителей, но уступал по скорости многим другим двухмоторным бомбардировщикам.

83
{"b":"175072","o":1}