Литмир - Электронная Библиотека
Содержание  
A
A

— Это если считать так, как сказал хозяин, — не сдавался Нулик. — Но ведь кукла вела расчёт совсем в другом порядке. Она сперва прибавила к 100 колумбам 20 процентов за доставку, а это ни много ни мало 120 колумбов. Понимаете?

— Понимаем, понимаем, — успокоил его Сева. — Валяй дальше.

— Дальше эта пластпу́псовая касса отняла от 120 колумбов 20 процентов. По-моему, это… Сколько это, по-моему?

— По-твоему, это 24 колумба, — подсказал Олег.

— Вот именно, 24, — величественно кивнул президент. — А ну-ка, отнимем от 120 колумбов 24. Что получится? Гм… Получатся те же 96 колумбов…

Нулик сконфуженно развёл коротенькие ручки.

— Случайность! Если взять другие числа, ну там 120 или 200, ответы при разных способах расчёта не совпадут.

— Чтобы не перебирать сотни разных чисел, — предложил Олег, — давай изобразим оба эти расчёта в общем виде. Если результаты получатся одинаковые, значит, эта задача может быть решена двумя способами расчёта при любых числах.

Президент изъявил своё милостивое согласие, и Олег, вооружившись карандашом, начал:

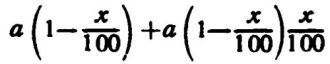
— Обозначим первоначальную цену куклы буквой a, а число прибавляемых или вычитаемых процентов — буквой икс (x). Один процент это a/100. Значит, икс процентов равно ax/100. Отсюда стоимость куклы после снижения цены будет выглядеть так:

В поисках похищенной марки - _003.jpg

— Теперь, — продолжал Олег, — вычислим икс процентов уже от этой суммы. Получим

В поисках похищенной марки - _004.jpg_0

Остаётся прибавить к сниженной стоимости куклы то, что полагается уплатить за доставку:

В поисках похищенной марки - _005.jpg_0

После простейших преобразований получим вот что:

В поисках похищенной марки - _006.jpg_0

— Ну как, согласен? — спросил Олег, поставив последнюю точку.

— Вроде все правильно, — процедил Нулик, придирчиво оглядев запись. — Теперь запиши в общем виде расчёт кассы.

— Нет ничего проще. Сто́ит только в первой скобке полученного нами выражения вместо минуса поставить плюс, а во второй — вместо плюса минус. И все.

— Стало быть, здесь сомножители попросту поменялись местами, — догадался Нулик.

— Конечно, — подтвердил Олег. — А от перестановки сомножителей произведение, как тебе известно…

— …не меняется! — радостно выпалил президент. — Вот это да! Выходит, терранигугунцы и в самом деле в математике кое-что мерекают.

— Будьте благонадёжны! — заверил его Олег. — И в этом мы убедимся ещё раз, когда разберём вторую задачу.

— Ту, которую задал Магистру мальчик, ничего не смыслящий в астрологии?

— Ты хочешь сказать, в астрономии, — уточнил Олег.

— Астрология, астрономия, — надулся Нулик. — Какая разница?

— Эй, ты, полегче на поворотах! — цыкнул на него Сева, который считал себя крупным специалистом по части небесной механики. — Астрономия — наука точная, зато астрология — так, гадание на кофейной гуще…

— Скорей уж — на звёздной, — пошутила Таня.

Глаза у Нулика так и загорелись.

— Гадание на звёздной гуще! Вот, наверное, интересно! Мне бы попробовать…

— Зачем же дело стало! Перенесись в древние века, во дворец какого-нибудь восточного владыки и поступай к нему на службу астрологом…

— А дальше что?

— Дальше повелит тебе владыка составить для него гороскоп.

— Чего-чего?

— Гороскоп, ну, карту, где показано расположение звёзд в тот день, когда родился человек, судьбу которого надо предсказать.

В поисках похищенной марки - _007.jpg

— Судьбу? По звёздам?! Да ты в уме? Какая же связь между звёздами и судьбой человека?

— То-то и оно, что никакой. Да только астрологи утверждали обратное. Неспроста и сейчас говорят ещё: этот человек родился под счастливой или под несчастной звездой.

Нулик сердито стукнул ладошкой по столу.

— Шарлатаны твои астрологи — вот кто! — Ну это как сказать! Многие из них были одновременно и настоящими учёными, сведущими астрономами и сделали немало действительно ценных наблюдений и открытий.

Президент пренебрежительно оттопырил нижнюю губу:

— Настоящие учёные?! Зачем же тогда они занимались предсказаниями?

— Да так. Вероятно, по совместительству.

— Вернее, по необходимости, — разъяснила Таня. — Всяких там фараонов и царей су́дьбы настоящей науки заботили далеко не всегда. Собственная судьба занимала их куда больше. Вот и приходилось учёным идти в прорицатели.

Такой ценой покупали они возможность работать в роскошных дворцовых обсерваториях и изучать там движения небесных тел.

Президент облегчённо вздохнул.

— Хорошо всё-таки, что сейчас не древние века и мне не надо идти в астрологи.

— Думаешь, астрология процветала только в древние времена? — возразил Сева. — Ничего подобного! Кое-где гороскопы составляют даже в нашем, двадцатом веке. Не у нас, конечно, а в других странах…

— Во всяком случае, не в Карликании, — сказал президент. — Так что перейдём от астрологии к астрономии. У нас ведь сейчас на очереди лунное затмение. Если не ошибаюсь, оно происходит тогда, когда Солнце закрывает Луну. Так, кажется, объяснял Магистр?

Вот когда мы нахохотались вволю! Только на сей раз Нулик и не думал смеяться вместе со всеми. Лицо его выражало полное недоумение.

— Многоуважаемый президент! — сказал наконец Сева, утирая весёлые слезы. — Сделайте одолжение, запишите в своём блокноте: лунное затмение бывает не оттого, что Луну закрывает Солнце, а по той простой причине, что на неё наползает тень освещённой Солнцем Земли.

— Да ну! — изумился Нулик.

— Вот тебе и «ну»! Понимаешь теперь, почему мальчик из Уа-уа ответил Магистру, что явления, которое наш друг называет лунным затмением, ожидать не приходится, по крайней мере, в ближайшее тысячелетие?

— Что уж тут понимать! — уныло сказал Нулик. — Просто парень был с юмором. Ты мне другое объясни: неужели время лунного затмения и вправду можно вычислить заранее?

— Конечно. Так же, как и время солнечного. Зато чего нельзя, так это предугадать дату землетрясения. Тут уж наш юный терранигугунец явно заврался.

— Зачем же так грубо? — поморщилась Таня. — Скажи лучше — нафантазировал. Просто так, для интереса. Чтобы загадка получилась позанятней да позаковыристей.

— Она и вправду занятная, — оживился Олег. — Мальчик сказал, что даты двух терранигугунских землетрясений, происшедших в двадцатом веке, представляют собой простые числа, которые отличаются особыми свойствами: никакой перестановкой цифр другого простого числа, изображающего какой-либо минувший год нашей эры, из них не сделать. Теми же свойствами обладают и даты трех грядущих землетрясений, которые, по уверению мальчика, тоже произойдут в нашем же, двадцатом веке. Эти-то числа и предлагается отгадать.

— Ну уж дудки! — отрезал Нулик. — Это все равно невозможно.

— Отчего же? — невозмутимо сказал Олег. — Последуем совету мальчика — откроем справочник Выгодского и найдём таблицу простых чисел. Вот она. Из неё мы легко узнаем, что в нашем столетии простыми числами изображаются всего 13 годов. Это 1901, 1907, 1913, 1931, 1933, 1949, 1951, 1973, 1979, 1987, 1993, 1997 и 1999 годы. Семь из этих 13 лет уже прошли, а среди семи прошедших есть всего два числа, подходящих нам по свойствам. Это 1933 и 1951 годы. Точно такими же свойствами обладают и три числа, изображающие будущие годы двадцатого века. Это 1973, 1979 и 1999. Вот мы и нашли, что искали. А ты говорил — невозможно… Нулик смущённо улыбнулся.

— Это я потому, что загадка была о простых числах. А где простые числа — уж там жди сложностей! Я-то знаю. Это только для Магистра все числа простые. Наверное, он забыл, что такое простое число…

— Он забыл, а ты-то помнишь? — поддразнил Сева.

— А то нет! Простыми называются числа, которые, кроме как на самих себя да ещё на единицу, ни на какие другие не делятся.

4
{"b":"17319","o":1}